 |
 |
 |
 | Fourier pseudo spectral method for attenuative simulation with fractional Laplacian |  |
![[pdf]](icons/pdf.png) |
Next: Computing derivatives using Fourier
Up: Fourier pseudo spectral method
Previous: Fourier pseudo spectral method
Spectral solutions to time-dependent PDEs are formulated in the frequency-wavenumber domain and solutions are obtained in terms of spectra (e.g. seismograms). This
technique is particularly interesting for geometries where partial solutions in the
domain can be obtained analytically (e.g. for layered models).
In the pseudo-spectral approach - in a finite-difference like manner - the PDEs are solved pointwise in physical space
. However, the space derivatives are calculated using
orthogonal functions (e.g. Fourier Integrals, Chebyshev polynomials). They are either evaluated using matrix-matrix multiplications, fast Fourier transform (FFT), or convolutions.
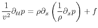
Let us start with the 1-D acoustic wave equation.
 |
(1) |
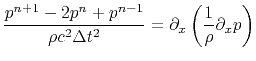
Omitting the source term, we may discretize the wave equation using standard centered finite difference for time stepping as
 |
(2) |
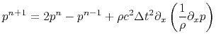
where we use the notation
. Thus, we have the following evolution scheme
 |
(3) |
where the space derivatives will be calculated using the Fourier transform.
 |
 |
 |
 | Fourier pseudo spectral method for attenuative simulation with fractional Laplacian |  |
![[pdf]](icons/pdf.png) |
Next: Computing derivatives using Fourier
Up: Fourier pseudo spectral method
Previous: Fourier pseudo spectral method
2021-08-31