 |
 |
 |
 | Fourier pseudo spectral method for attenuative simulation with fractional Laplacian |  |
![[pdf]](icons/pdf.png) |
Next: Conclusion
Up: Fourier pseudo spectral method
Previous: Computing derivatives using Fourier
ps2d
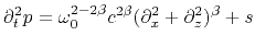
According to [Carcione(2010)], the uniform-density pressure formulation is
 |
(12) |
where
is the body force per unit; the order
is
. When
, it introduces stronger attenuation. Regarding the fractional order of the Laplacian operator,
we may be able to update the wavefield by
![$\displaystyle p^{n+1}=2p^n-p^{n-1}+\Delta t^2 c^2F^{-1}[(-k_x^2-k_z^2)^\beta F p^n]$](img31.png) |
(13) |
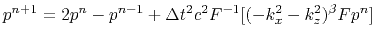
Another choice to perform fractional order wave simulation is
 |
(14) |
which implies the following wavefield extrapolation
![$\displaystyle p^{n+1}=2p^n-p^{n-1}+\Delta t^2 c^2F^{-1}[(-1)^\beta(k_x^{2\beta}+k_z^{2\beta}) F p^n]$](img33.png) |
(15) |
with constant density
.
A snapshot using the code provided in the appendix is shown in Figure 1, in which we use the sponge boundary condition.
snapshotwidth=0.7A snapshot of 2-D acoustic propagation using PSM method
 |
 |
 |
 | Fourier pseudo spectral method for attenuative simulation with fractional Laplacian |  |
![[pdf]](icons/pdf.png) |
Next: Conclusion
Up: Fourier pseudo spectral method
Previous: Computing derivatives using Fourier
2021-08-31