Multi-channel Q estimation method

The method introduced above refers to the single-channel method for Q estimation. In the single channel method, Q is estimated trace-by-trace, which does not consider the spatial coherence of the Q model. In the multi-channel method, we introduce the spatial coordinate $x$ into equations 1 and 2:

$\displaystyle Y(f,t_1,x)$ $\displaystyle = A(t_1,x)Y(f,t_0,x)e^{-\frac{\pi f(t_1-t_0)}{Q(x)}},$ (6)
$\displaystyle Y(f,t_2,x)$ $\displaystyle = A(t_2,x)Y(f,t_0,x)e^{-\frac{\pi f(t_2-t_0)}{Q(x)}},$ (7)

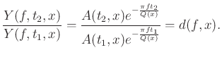
where $x$ indicates that $Y(f,t_1,x)$, $A(t_1,x)$, $Q(x)$ vary with spatial coordinate $x$. Dividing equation 6 by equation 7, equation 8 becomes:

$\displaystyle \frac{Y(f,t_2,x)}{Y(f,t_1,x)} = \frac{A(t_2,x)e^{-\frac{\pi ft_2}{Q(x)}}}{A(t_1,x)e^{-\frac{\pi ft_1}{Q(x)}}} = d(f,x).$ (8)




2020-02-10