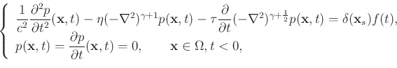
The viscoacoustic wave equation with DFLs was first proposed by Zhu and Harris (2014) to characterize frequency-dependent attenuation and dispersion separately, which can be written as
 |
(1) |
where
is a bounded domain in
-dimensional space
,
denotes the source position, and
is the point source signature enforced at
. The dimensionless parameter
ranges within
, and
, where
is the velocity model defined at the reference frequency
. The proportionality coefficients of two fractional Laplacians, separately representing dispersion and absorption, are given by
and
. Equation 1 seems to be attractive for
-RTM owing to its flexibility for separately compensating amplitude loss and correcting phase distortion. Treeby et al. (2010) and Zhu et al. (2014) stated that attenuation compensation based on this equation can be achieved by reversing the absorption proportionality coefficient in sign but leaving the equivalent dispersion parameter unchanged. My latest work (in Chapters 4 and 5) has analytically proved that Green's function of equation 1 is exponentially decreasing, whereas reversing the absorption proportionality coefficient in sign signifies replacing the Green's function with a phase-conjugated Green's function that is exponentially increasing (Wang et al., 2017c,2018c).
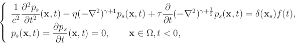
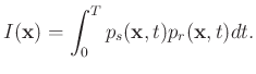
The novel paradigm of
-RTM first proposed by Zhu et al. (2014), where the source wavefield
and receiver wavefield
are compensated during forward extrapolation and time-reversal extrapolation simultaneously, coupled with a zero-lag crosscorrelation imaging condition, has proven to be a promising approach for generating high-resolution images and high-fidelity amplitude reflectors. Following the spirit of Treeby et al. (2010) and Zhu et al. (2014), the
-compensated source wavefield
is the solution of the following equation:
 |
(2) |
and the
-compensated receiver wavefield
satisfies the following equation
![\begin{displaymath}\left\{
\begin{array}{lr}
\dfrac{1}{c^2}\dfrac{\partial^2p_r}...
... \mathbf{x} \in \mathbf{x}_r, t \in [0,T], &
\end{array}\right.\end{displaymath}](img37.png) |
(3) |
where
denotes the receiver positions,
stands for the recorded seismic data at
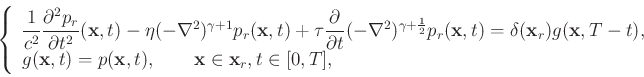
, which are reversed in time and enforced as the Dirichlet boundary condition. Finally, we realize
-RTM via the following zero-lag crosscorrelation imaging condition:
 |
(4) |
However, an inevitable issue imposed by the crosscorrelation algorithm is that the forward wavefields need to be accessible at every time step (Anderson et al., 2012; Yang et al., 2016). Saving all forward wavefields requires tremendous memory and frequent disk I/O, which makes it impractical for large-scale 2D or 3D RTM (Symes, 2007; Tan and Huang, 2014), especially for CUDA-based RTM that demands data transfer between host and device (Yang et al., 2014).
2020-04-03