 |
 |
 |
 | Fractal heterogeneities in sonic logs
and low-frequency scattering attenuation |  |
![[pdf]](icons/pdf.png) |
Next: Fractal statistics
Up: Browaeys & Fomel: Fractals
Previous: Introduction
Let us consider the spatial fluctuations of seismic velocities to be small and to
constitute a second-order stochastic process.
We describe the fluctuations by using different realizations of the random function
with the expectation value
and with the spatial covariance
depending on the relative distance
defined by
where
is the standard deviation and
is the spatial autocorrelation
function with
.
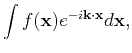
The energy spectrum
of the fluctuations in
dimensions (
) is
related to the autocorrelation by the Wiener-Khintchine theorem (Born and Wolf, 1964):
where
is the spatial wave vector and
is the Fourier transform of
.
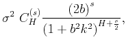
The energy spectrum in equation 2 can be simplified, for an isotropic correlation function, to
where
. The von Kármán autocorrelation function
describes a self-affine medium relevant for
geological structures
(Goff and Jordan, 1988; Klimes, 2002; Dolan et al., 1998; Goff and Holliger, 2003; Sato and Fehler, 1998; Holliger and Levander, 1992).
This function was initially derived by von Kármán (1948) while
studying the velocity field in a turbulent fluid and has been used to
describe heterogeneous media (Frankel and Clayton, 1986; Tatarski, 1961). The
Fourier transform of
was given by
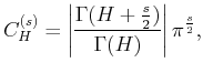
Lord (1954). The statistical autocorrelation
and the energy spectrum
in the Fourier
domain are
where
,
is the modified Bessel function
of the second kind with order
, and
is the Gamma function.
Parameters describing the heterogeneities are characteristic distance
,
below which the distribution is fractal,
and exponent
, characterizing the roughness of the medium.
We use the energy spectrum in equation 7 with
to analyze sonic logs
and with
to predict 3D scattering attenuation.
Subsections
 |
 |
 |
 | Fractal heterogeneities in sonic logs
and low-frequency scattering attenuation |  |
![[pdf]](icons/pdf.png) |
Next: Fractal statistics
Up: Browaeys & Fomel: Fractals
Previous: Introduction
2013-03-02