 |
 |
 |
 | Velocity analysis using
semblance |  |
![[pdf]](icons/pdf.png) |
Next: semblance: correlation with a
Up: Theory
Previous: Theory
The correlation coefficient
between two sequences of numbers
and
is defined as
 |
(1) |
The correlation coefficient is analogous to the cosine
of the angle between two vectors
and
. It takes
values in the range from
to
. Taking a correlation of a
sequence
with a constant sequence
produces a measure
, defined as
 |
(2) |
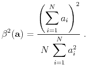
Squaring the correlation with a constant yields the measure equivalent
to semblance
 |
(3) |
Semblance is maximized when the sequence
has a uniform
distribution. When seismic amplitude is uniformly distributed along a
moveout curve, the semblance of a horizontal slice through the gather
will be maximized when the event is flattened. This fact is the basis
of the conventional velocity analysis originally developed by
Taner and Koehler (1969). The approach fails, however, when the
amplitude variation is distinctly non-uniform.
 |
 |
 |
 | Velocity analysis using
semblance |  |
![[pdf]](icons/pdf.png) |
Next: semblance: correlation with a
Up: Theory
Previous: Theory
2013-03-02