 |
 |
 |
 | Velocity analysis using
semblance |  |
![[pdf]](icons/pdf.png) |
Next: Sensitivity analysis of semblance
Up: Theory
Previous: Semblance as correlation
Suppose that the reference sequence has a trend
,
where
is a known function. The trend can be, for example, an
expression of the
reflection coefficient in Shuey's approximation
(Shuey, 1985), where
and
are the AVO intercept
and gradient,
, and
corresponds to
the reflection angle at trace
. In examples of this
paper, I use offset instead of angle. Relating offset and reflection
angle can be done either by using approximate equations of by ray
tracing once the velocity model is established.
Estimating
and
from least-square fitting of the trend amounts
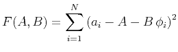
to the minimization of
 |
(4) |
Differentiating equation (4) with respect to
and
,
setting the derivatives to zero, and solving the system of two linear
equations produces the well-known linear fit equations
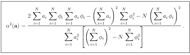
Substituting the trend
with
and
defined
from the least-squares equations (5) and (6) into the
correlation coefficient equation (1) and squaring the
result leads to equation
![$\displaystyle \boxed{ \alpha^2(\mathbf{a}) = \frac{\displaystyle 2\,\sum_{i=1}^...
...\left[\left(\sum_{i=1}^N \phi_i\right)^2 - N\,\sum_{i=1}^N \phi_i^2\right]}\;.}$](img29.png) |
(7) |
Equation (7) generalizes the semblance measure
defined in equation (3) to a new measure
. In the absence of
a trend (when the numerator in equation (6) is zero),
is
equivalent to
.
Sarkar et al. (2001) defined semblance using a
normalized least-squares objective
 |
(8) |
Substituting equations (5) and (6) into (8)
is an alternative way of deriving equation (7). This is the
semblance in terminology of
Sarkar et al. (2002,2001).
 |
 |
 |
 | Velocity analysis using
semblance |  |
![[pdf]](icons/pdf.png) |
Next: Sensitivity analysis of semblance
Up: Theory
Previous: Semblance as correlation
2013-03-02