next up previous [pdf]

Next: Lowrank Fourier Finite Differences Up: Theory Previous: Lowrank Finite Differences

TTI Lowrank Finite Differences

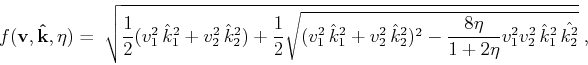
The LFD approach is not limited to the isotropic case. In the case of transversely isotropic (TTI) media, the term $v(\mathbf{x}) \vert\mathbf{k}\vert$ on the right-hand side of equation 6, can be replaced with the acoustic approximation (Fomel, 2004; Alkhalifah, 1998,2000),
\begin{displaymath}
\begin{array}{*{20}l}
f(\mathbf{v},\mathbf{\hat{k}},\eta)=\;...
...{1+2\eta}v_1^2v_2^2 \hat{k}_1^2 \hat{k_2^2}}}\;,
\end{array}\end{displaymath} (17)

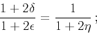
where $v_1$ is the P-wave phase velocity in the symmetry plane, $v_2$ is the P-wave phase velocity in the direction normal to the symmetry plane, $\eta $ is the anisotropic elastic parameter (Alkhalifah and Tsvankin, 1995) related to Thomsen's elastic parameters $\epsilon$ and $\delta$ (Thomsen, 1986) by
\begin{displaymath}
\frac{1+2\delta}{1+2\epsilon}=\frac{1}{1+2\eta} ;
\end{displaymath} (18)

and $\hat{k}_1$ and $\hat{k}_2$ stand for the wavenumbers evaluated in a rotated coordinate system aligned with the symmetry axis:


\begin{displaymath}
\begin{array}{*{20}c}
\hat{k}_1=k_1\cos{\theta}+k_2\sin{\the...
... \\
\hat{k}_2=-k_1\sin{\theta}+k_2\cos{\theta}\;
\end{array}\end{displaymath} (19)

where $\theta $ is the tilt angle measured with respect to vertical. Using these definitions, we develop a version of the lowrank finite-difference scheme for 2D TTI media.


next up previous [pdf]

Next: Lowrank Fourier Finite Differences Up: Theory Previous: Lowrank Finite Differences

2013-06-12