next up previous [pdf]

Next: 3-D case Up: Partial differential equations for Previous: Partial differential equations for

2-D case

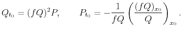
Consider a set of image rays coming to the surface. Suppose we are tracing them all backwards in time together with the quantities $ Q$ and $ P$ . Let us eliminate the unknown velocity $ v$ in system 9 using equation 10. Moreover, let us eliminate the differentiation in $ q$ using the definition of $ Q$ and rewrite it in the time-domain coordinates $ x_0,t_0)$ . Indeed, $ Q=\frac{dq}{dx_0}$ , hence $ \frac{d}{dq}=\frac{d}{dx_0}\frac{dx_0}{dq}=Q^{-1}\frac{d}{dx_0}$ . Therefore, system 9 becomes

$\displaystyle Q_{t_0}=(fQ)^2P,\qquad P_{t_0}=-\frac{1}{fQ}\left(\frac{(fQ)_{x_0}}{Q}\right)_{x_0}.$ (13)

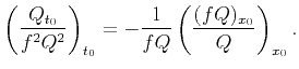
Eliminating $ P$ in system 13, we get the following partial differential equation (PDE) for $ Q$

$\displaystyle \left(\frac{Q_{t_0}}{f^2Q^2}\right)_{t_0}= -\frac{1}{fQ}\left(\frac{(fQ)_{x_0}}{Q}\right)_{x_0}.$ (14)

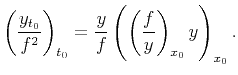
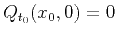
The initial conditions are $ Q(x_0,0)=1$ , $ Q_{t_0}(x_0,0)=0$ . Equation 14 simplifies in terms of the negative reciprocal of $ Q$ . Introduce $ y=-\frac{1}{Q}$ . Then equation 14 becomes

$\displaystyle \left(\frac{y_{t_0}}{f^2}\right)_{t_0}= \frac{y}{f}\left(\left(\frac{f}{y}\right)_{x_0}y\right)_{x_0}.$ (15)

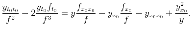
In the expanded form, equation 15 is

$\displaystyle \frac{y_{t_0t_0}}{f^2}-2\frac{y_{t_0}f_{t_0}}{f^3} =y\frac{f_{x_0x_0}}{f}-y_{x_0}\frac{f_{x_0}}{f}-y_{x_0x_0}+ \frac{y_{x_0}^2}{y}.$ (16)


next up previous [pdf]

Next: 3-D case Up: Partial differential equations for Previous: Partial differential equations for

2013-03-02