next up previous [pdf]

Next: Spectral Chebyshev method Up: Inversion Methods Previous: Inversion Methods

Finite difference method

This method was inspired by the Lax-Friedrichs method for hyperbolic conservation laws Lax (1954) due to its total variation diminishing property. We use the ``Lax-Friedrichs averaging'' and the wide 5-point stencil in space. The scheme is given by
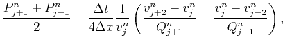
$\displaystyle P^{n+1}_j$ $\displaystyle =$ $\displaystyle \frac{P_{j+1}^n+P_{j-1}^n}{2}
-\frac{\Delta t}{4\Delta x}
\frac{1...
...(\frac{v^n_{j+2}-v^n_j}{Q^n_{j+1}}-
\frac{v^n_{j}-v^n_{j-2}}{Q^n_{j-1}}\right),$ (21)
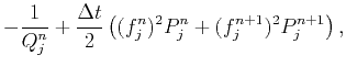
$\displaystyle -\frac{1}{Q^{n+1}_j}$ $\displaystyle =$ $\displaystyle -\frac{1}{Q^n_j}+
\frac{\Delta t}{2}\left((f_j^n)^2P_j^n+(f_j^{n+1})^2P_j^{n+1}\right),$ (22)

where $ v\equiv fQ$ . We impose the following boundary conditions $ Q^n_0=Q^n_{nx-1}=1$ , $ P_0^n=P^n_{nx-1}=0$ corresponding the straight boundary rays. We set the initial conditions $ Q_j^0=1$ , $ P^0_j=0$ corresponding to the initial conditions for the image rays traced backward: $ Q=1$ , $ P=0$ .




2013-03-02