 |
 |
 |
 | Time-to-depth conversion and seismic velocity estimation using time-migration velocity |  |
![[pdf]](icons/pdf.png) |
Next: Examples
Up: Inversion Methods
Previous: Finite difference method
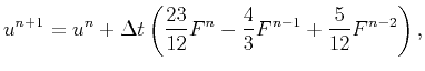
Alternatively, we solve our PDE
in the form given by equation 15
by a spectral Chebyshev method Boyd (2001).
Using cubic splines, we define the input data at
Chebyshev points.
We compute the Chebyshev coefficients and the coefficients of the
derivatives in the right-hand side of equation 15.
Then we use a smaller number
of the
coefficients for function evaluation.
We need to do such Chebyshev differentiation twice.
Finally we perform the time step using
the stable third-order Adams-Bashforth method
Boyd (2001),
which is
 |
(23) |
where
is the right-hand side.
In numerical examples, we tried
and
.
This method allows larger time steps than the finite difference, and
has the adjustable parameter
.
For step 2, we use a Dijkstra-like solver introduced in Cameron et al. (2007).
It is an efficient time-to-depth conversion algorithm motivated by
the Fast Marching Method (Sethian, 1996).
The input for this algorithm
is
and the outputs are
the seismic velocity
and the transition matrices from time-domain
to depth-domain coordinates
and
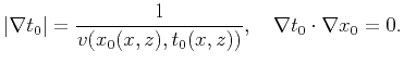
. We solve the
eikonal equation with an unknown right-hand side coupled
with the orthogonality relation
 |
(24) |
The orthogonality relation means that the image rays are orthogonal to
the wavefronts. Such time-to-depth conversion is very fast and
produces the outputs directly on the depth-domain grid.
 |
 |
 |
 | Time-to-depth conversion and seismic velocity estimation using time-migration velocity |  |
![[pdf]](icons/pdf.png) |
Next: Examples
Up: Inversion Methods
Previous: Finite difference method
2013-03-02