next up previous [pdf]

Next: Examples Up: Burnett & Fomel: Azimuthal Previous: Theory

Method

Since velocity continuation is described by a wave equation, it can be implemented in analogous ways to seismic migration. Here, we demonstrate a spectral implementation of equation 16. By first stretching the time coordinate of an input image from $t$ to $\tilde{t} =t^2/2$, and then taking its 3D Fourier transform, equation 16 becomes the reduced partial differential equation,


\begin{displaymath}
i\Omega \nabla _{\tensor{W}}\hat{P} =\frac{1}{2}\tensor{W}^{-1}\mathbf{k}\mathbf{k}^{\mathrm{T}}\tensor{W}^{-1}\hat{P},
\end{displaymath} (17)

where $\Omega $ is the Fourier dual of $\tilde{t} $ and $\mathbf{k}$ is the wavenumber vector (Fourier dual of $\mathbf{x}$). Equation 17 has the analytical solution,


\begin{displaymath}
\hat{P}(\Omega ,k_1,k_2,\tensor{W})=\hat{P}(\Omega ,k_1,k_2,...
...k}^{\mathrm{T}}(\tensor{W}^{-1}-\tensor{W}^{-1}_0)\mathbf{k}},
\end{displaymath} (18)

which shows that continuation of an image from an arbitrary $\tensor{W}_0$ to $\tensor{W}$ can be achieved by multiplication with a shifting exponential in the Fourier domain. One can also directly migrate an unmigrated image by using the 2$\times $2 matrix $\tensor{W}_0^{-1} = \mathbf{0}$ for the initial velocity. In practice, the coordinate stretch from $t$ to $\tilde{t} $ should be carefully applied as data will be compressed along the time-axis for early samples.

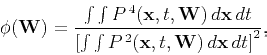
With a range of slowness matrices $\tensor{W}$, equation 18 can be used to quickly generate the corresponding range of anisotropically migrated images. When the correct velocity model is used, diffractions collapse to points, which we recognize as the image coming into focus. Although constant velocity models are used for each image, this type of spectral implementation can still be useful in the heterogeneous case, as different parts of the image will come into focus locally as the appropriate velocity is used (Fowler, 1984; Harlan et al., 1984). Once the range of images is generated, we search for the best-focused image at each output location. We use the image attribute of kurtosis, defined as,


\begin{displaymath}
\phi (\tensor{W})=\frac{\int \int P^{\,4}(\mathbf{x},t,\tens...
...t P^{\,2}(\mathbf{x},t,\tensor{W})\,d\mathbf{x}\,dt\right]^2},
\end{displaymath} (19)

to quantify how well a location is focused in a particular image (Fomel et al., 2007; Wiggins, 1978). Including integration limits specifies a window size for locally measuring kurtosis in the image. In application, the integration limits control either the size of a ``sliding window'', or when viewing kurtosis as a local attribute (Fomel, 2007), they can be used to control the smoothness enforced by shaping regularization. In either case, the integration limits control a trade-off between the robustness of the focusing measurement and the resolution. From experience, typical limits for field data correspond to window sizes on the order of $10^1$ samples in each dimension. It should be noted that the traveltime approximation of equation 1 loses accuracy in the presence of strong lateral heterogeneity, but is commonly used to estimate smooth effective parameter models. Following the maximum values through the resulting six-dimensional kurtosis hypercube, $\phi (t,\mathbf{x},\tensor{W})$, and then slicing corresponding pieces from the output images volume, $P(t,\mathbf{x},\tensor{W})$, reveals an effective medium based heterogeneous velocity model and a well-focused image. This spectral implementation and slicing procedure is similar to searching through a set of constant-velocity $f-k$ migrations, and can be completed without any prior knowledge of the velocity model (Fowler, 1984; Mikulich and Hale, 1992).


next up previous [pdf]

Next: Examples Up: Burnett & Fomel: Azimuthal Previous: Theory

2013-03-02