next up previous [pdf]

Next: Velocity Independent -p moveout Up: Casasanta & Fomel: Velocity-independent Previous: Introduction

The $ \tau $ -$ p$ domain

The $ \tau $ -$ p$  transform is the natural domain for anisotropy parameters estimation in layered or vertically varying media with horizontal symmetry planes (van der Baan and Kendall, 2002; Sil and Sen, 2008; Douma and van der Baan, 2008; Tsvankin et al., 2010). Since the horizontal slowness is preserved upon propagation, the $ \tau $ -$ p$  transform allows simpler and more accurate traveltime modeling (ray tracing) and inversion (layer stripping). Moreover, the $ \tau $ -$ p$  transform is a plane-wave decomposition. Therefore, the phase velocity, rather than the group velocity, is the relevant velocity. The group velocity controls instead traveltime in the traditional $ t$ -$ X$  domain (Tsvankin, 2006). Unfortunately, the exact expressions for the group velocities in terms of the group angle are difficult to obtain and cumbersome for practical use. As a result, it requires either ray tracing for exact $ t$ -$ X$  modeling in anisotropic media or the use of multi-parameter traveltime approximations. In this domain, the most straightforward and widely used approximation for P-waves reflection moveout comes from the Taylor series expansion of traveltime or squared traveltime around the zero offset (Taner and Koehler, 1969; Ursin and Stovas, 2006):

$\displaystyle t^{k}(x)=\displaystyle \sum _{n=0}^N A_{2n} x^{2n}$    with $\displaystyle k=1,2$ (1)

Although it is possible to derive exact formulas for all the series coefficients (Tsvankin, 1995,2006; Al-Dajani and Tsvankin, 1998), equation 1 loses its accuracy with increasing offset to depth ratio. Fomel and Stovas (2010) introduced recently a generalized functional form for approximating reflection moveout at large offsets. While the classic Alkhalifah and Tsvankin (1995) 4th-order Taylor/Padé approximation uses three parameters, the generalized approximation involves five parameters, which can be determined from the zero-offset computation and from tracing one nonzero-offset ray. In a homogeneous quasi-acoustic VTI medium (Alkhalifah, 1998), the generalized approximation of Fomel and Stovas (2010) reduces to the three-term traveltime approximation of Fomel (2004), which is practical and more accurate than other known three-parameter formulas for non-hyperbolic moveout.

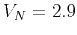
commonray1 commonray2
commonray1,commonray2
Figure 1.
Comparison between event geometry in $ t$ -$ X$  (a) and $ \tau $ -$ p$  (b). The $ \tau $ -$ p$  domain naturally unveils the position of equal slope events. If the medium is a stack of horizontal homogeneous layers, a $ \tau $ -$ p$  trace collects the contribution of rays, with ray parameter $ p$ , that share common ray segments in each layer. Moreover, local slopes $ R=\frac {d\tau }{dp}$ are related to emerging offset $ x=-R$ . After the original $ t$ -$ X$   data is $ \tau $ -$ p$  transformed, we can measure zero-slope traveltime $ \Delta \tau _0=\frac {\partial \tau _0}{\partial \tau }\Delta \tau $ and offset $ \Delta x=-\frac {\partial R}{\partial \tau }\Delta \tau $ differences at common slope $ p$ points, by simple differentiation along $ \tau $ .
[pdf] [pdf] [png] [png]

The $ \tau $ -$ p$  domain provides an attractive alternative to computing P-wave reflection-moveout curves. The $ \tau $ -$ p$  transform stacks the data gathered in $ t$ -$ X$  domain along straight lines, whose direction

$\displaystyle t = \tau + p X,$ (2)

is parametrized by the horizontal slowness $ p$ and the intercept time $ \tau $ (blue lines in figure 1a). Hence, the $ \tau $ -$ p$   transform maps the data to the slowness domain, where traveltime depends on the vertical components $ q$ of the down and upgoing phase slowness [equation 20 in van der Baan and Kendall (2002)]. Considering an anisotropic medium with a horizontal symmetry plane (VTI, HTI and orthorhombic with one of the symmetry axis aligned to the depth direction), the $ \tau $ -$ p$   reflection moveout formula simplifies to

$\displaystyle \tau (p)=\tau _{0} V_{P0} q(p)\;,$ (3)

where $ \tau _{0}=\frac{2z}{V_{P0}}$ is the zero-slope/zero-offset two way traveltime in a homogeneous layer with thickness $ z$ and vertical velocity $ V_{P0}$ . According to the Christoffel equation, $ q(p)=\sqrt{1/v^{2}(p) - p^{2}}$ and $ v=v(p)$ is the phase velocity as a function of the ray parameter $ p$ .

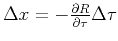
Equation 3 remains exact as long as we use the exact expression for the phase velocity $ v(p)$ (red solid line in figure 2a). Exact expressions exist for all types of anisotropic media with a horizontal symmetry plane. Unfortunately, the exact and the highly accurate (Stovas and Fomel, 2010) expressions for $ \tau $ -$ p$   signatures are not very practical because they depend on multiple parameters. In practice, one may prefer to employ three-parameters approximate relations for the phase velocity. Although these signatures are approximate, they are more reliable then the $ \tau $ -$ p$   transformed version of their dual-pair in the $ t$ -$ X$  domain (figure 2b).

taup error-taup
taup,error-taup
Figure 2.
(a) $ \tau (p)$ signatures: Thomsen (1986) or Byun et al. (1989) weak anisotropy (squares) and Alkhalifah (2000) quasi-acoustic (blue upper triangles) approximation. (b) percentage error with respect to the exact formulation (red solid line). These curves are computed in a layer of 1.24 km thickness with $ V_{P0}=3.2$ km/s, $ V_{N}=2.9$ km/s, $ V_{H}=3.9$ km/s, $ \eta $ =0.44 and $ V_{P0}/V_{S0}=2.5.$ The Taylor curve (lower triangles) represent the $ \tau $ -$ p$  transformed quartic moveout traveltime approximation described in Alkhalifah and Tsvankin (1995). The Fomel curve (diamonds) is the $ \tau $ -$ p$  mirror of the $ t$ -$ X$  moveout formula based on the shifted hyperbola approximation for the group velocity introduced by Fomel (2004).
[pdf] [pdf] [png] [png]

We can extend the result in equation 3 to a stack of $ N$ horizontal homogeneous layers with horizontal symmetry planes. According to Snell's law, the horizontal slowness $ p$ is preserved upon propagation through each layer. Thus, the total intercept time $ \tau $ from the bottom of $ N$ -th layer is the summation of each interval intercept time $ \Delta \tau _{n}$ in the $ N$ contributing layers:

$\displaystyle \tau (p)=\sum\nolimits_{n=1}^{N} \Delta \tau_{n} = \sum\nolimits_{n=1}^{N} V_{P0,n} q_{n}(p) \Delta \tau _{0,n}  ,$ (4)

where each single intercept time $ \Delta \tau _{n}$ obviously depends just on interval parameters characterizing the $ n$ -th layer. Equation 4 states that in the $ \tau $ -$ p$  domain both the ray tracing (forward modeling) and layer stripping (inversion) are linear processes. Each trace in a $ \tau $ -$ p$  gather collects the contribution of rays that share common segments of trajectory in the layers (Figure 1a). Moreover, the $ \tau $ -$ p$  domain helps us also to isolate the effect of a single layer, thereby producing an estimate for its interval properties. Layer stripping is self-explanatory: by literally subtracting all the unwanted layers, one can isolate the contribution of a specific layer and access directly its interval parameters without passing through the effective parameters as normally happens in $ t$ -$ X$  domain. In $ t$ -$ X$  processing, the traveltime curves are inverted using a two-step procedures. First, effective parameters are obtained by semblance scans. Next, interval parameters are obtained using the Dix formula or layer-stripping procedures. The $ \tau $ -$ p$  processing offers instead a direct access to interval parameters.

The summation in equation 4 can be substituted by a convenient relation in term of the effective parameters obtained from the Dix average of interval ones. This result will be used in the next section to derive a closed-form expression for P-waves $ \tau $ -$ p$  reflection moveout in terms of interval or effective normal-moveout velocity $ V_N$ and horizontal velocity $ V_H$ (or, alternatively, $ \eta $ ): these two parameters control all time-domain processing steps in VTI media (Alkhalifah and Tsvankin, 1995).


next up previous [pdf]

Next: Velocity Independent -p moveout Up: Casasanta & Fomel: Velocity-independent Previous: Introduction

2011-06-25