 |
 |
 |
 | Velocity-independent
-
moveout
in a horizontally-layered VTI medium |  |
![[pdf]](icons/pdf.png) |
Next: Synthetic example of effective-parameter
Up: Casasanta & Fomel: Velocity-independent
Previous: The - domain
Under the quasi-acoustic approximation
(Alkhalifah, 1998,2000)
in a VTI homogeneous layer, the
vertical slowness
can be expressed as a function of the horizontal slowness
:
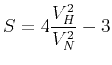
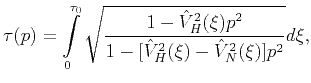
![$\displaystyle q(p)=\frac{1}{\hat{V}_{P0}}\sqrt{\dfrac{1-\hat{V}_{H}^{2}p^{2}}{1-[\hat{V}_{H}^{2}-\hat{V}_{N}^{2}]p^{2}}},$](img35.png) |
(5) |
where
and
are the horizontal and normal
moveout velocity in the layer. In the following equations, the
hat superscript
indicates layer or interval
parameters. Considering a stack of
horizontal homogeneous layers
with horizontal symmetry planes, we can insert equation
5 into equation 4 to obtain an
expression for the
-
reflection time from the bottom of the
-th
layer, as follows:
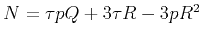
![$\displaystyle \tau (p)=\sum\nolimits_{n=1}^{N}\sqrt{\dfrac{1-\hat{V}_{H,n}^{2}p^{2}}{1-[\hat{V}_{H,n}^{2}-\hat{V}_{N,n}^{2}]p^{2}}}\Delta \tau _{0,n}$](img39.png) |
(6) |
where
is the two way vertical time for the
-th
layer. To simplify the following theoretical derivations, we assume
that, instead of having a layered velocity model, interval parameters
are vertically-varying continuous profiles. Therefore, we replace the
summation in formula 6 with an integral along
the vertical time
and arrive at the
following
-
moveout formula for a vertically-heterogeneous VTI
medium:
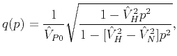
![$\displaystyle \tau (p)=\displaystyle \int \limits_{0}^{\tau _{0}}\sqrt{ \dfrac{...
...^{2}(\xi )p^{2} } {1-[\hat{V}_{H}^{2}(\xi )-\hat{V}_{N}^{2}(\xi )]p^{2}}}d\xi ,$](img41.png) |
(7) |
where
and
are (smooth) functions for interval
NMO and horizontal velocities, and
is the vertical
time. The vertical heterogeneity is measured as a function of
. The anellipticity parameter
is also a function
of the vertical time
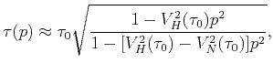
. Using effective parameters, equation 7 can be
approximated by
![$\displaystyle \tau (p)\approx \tau _{0}\sqrt{\dfrac{1-V_{H}^{2}(\tau _{0})p^{2}}{1-[V_{H}^{2}(\tau _{0})-V_{N}^{2}(\tau _{0})]p^{2}}},$](img47.png) |
(8) |
where the effective NMO
and horizontal
velocity are
related to the interval parameters through the second- and
fourth-order average velocities (Taner and Koehler, 1969; Ursin and Stovas, 2006) by the
following direct Dix-type formulas:
 |
(9) |
 |
(10) |
where
is the ratio between the fourth- and second-order
moments or the heterogeneity factor (Alkhalifah, 1997; Siliqi and Bousquié, 2000; de Bazelaire, 1988).
Equation 8 is basically the four-parameters rational approximation defined in
-
domain Stovas and Fomel (2010)
 |
(11) |
with parameter
defined from the Taylor series
expansion of the exact
-
function (Ursin and Stovas, 2006). Under
the acoustic VTI approximation,
and the equation 11 now
depends on three parameters only. Finally, to be consistent with
equation 8, the heterogeneity coefficient becomes
. In principle, it is possible to use any
other three-parameters approximation in
-
domain apart from the
rational approximation 11 like, for example, the
shifted ellipse approximation given by
Stovas and Fomel (2010). The reason for choosing the approximation
8 is that it accurately describes the
-
moveout for a single VTI layer (blue line in figure
2b). Nevertheless, approximation
8 remains valid for vertically heterogeneous
VTI media with a decrease in accuracy for larger angles (large values
of
) because of the Dix averaging
Letting
represent the slope
and
the curvature
, we differentiate equation 8 once
 |
(12) |
and twice
 |
(13) |
where
with
Equations 12 and 13 provide an
analytical description of the slope and curvature fields for given
effective values
and
. Here we have omitted the
dependency for clarity in the notation. Since
-
and
-
domains are mapped by the linear transformation in equation
2, we observe that
 |
(14) |
Thus, the negative of the slope
has the physical meaning of
emerging offset, as pointed out by van der Baan (2004). Moreover, when the curvature
changes sign, there is an inflection point in the
-
wavefront that is as a condition for caustics in
-
domain. (Roganov and Stovas, 2011).
Given slope
and curvature
fields in a
-
CMP gather, we can eliminate the
velocity
and the parameter
in equations 12
and 13, thus obtaining a ``
velocity-independent'' (Fomel, 2007b) moveout
equation in the
-
domain:
 |
(15) |
Equation 15 describes a direct mapping from events
in the prestack
-
data domain to zero-slope time
. This
equation represents the oriented or slope-based moveout correction. As
follows from equations 12 and 13, the
effective parameters, if needed for other tasks, are given by the
following relations as a function of the slope and curvature estimates
(see Table 1):
and
 |
(18) |
In the above equations,
and
represent the terms in the numerator
and denominator
of the square root in equation 15. In the isotropic
or elliptically anisotropic case (
or
), equations
15 to 18 simplify to equations
 |
(19) |
and
 |
(20) |
previously published by Fomel (2007b).
The anisotropic parameters
and
(or
) are no
longer a requirement for the moveout correction, as
in the case of conventional NMO processing, but
rather they are data attributes derived from local
slopes and curvatures. Moreover, these parameters are mappable
directly to the appropriate zero-slope time
according to equation 15.
 |
 |
 |
 | Velocity-independent
-
moveout
in a horizontally-layered VTI medium |  |
![[pdf]](icons/pdf.png) |
Next: Synthetic example of effective-parameter
Up: Casasanta & Fomel: Velocity-independent
Previous: The - domain
2011-06-25