next up previous [pdf]

Next: Estimation of interval parameters Up: Casasanta & Fomel: Velocity-independent Previous: Velocity Independent -p moveout

Synthetic example of effective-parameter estimation

dataSynth
dataSynth
Figure 3.
(a) A synthetic $ \tau $ -$ p$  CMP gather composed of non elliptical events modeled using equation 8. Estimated local slopes (b) and curvatures (c).
[pdf] [png] [scons]

We first test our method on a synthetic example, where the exact velocity model is known. The example is introduced in Figure 3. The synthetic data were generated by applying inverse $ \tau $ -$ p$  NMO with time-variable effective velocities. Both the effective NMO $ V_{N}$ and horizontal $ V_{H}$ velocity increase linearly with vertical time and include a sinusoidal change with time, as described by the following relations

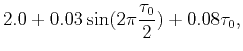
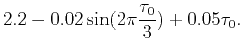
$\displaystyle V_{N}^{\text{  }}\left( \tau _{0}\right)$ $\displaystyle =$ $\displaystyle 2.0+0.03\sin (2\pi \frac{\tau
_{0}}{2})+0.08\tau _{0},$  
$\displaystyle V_{H}^{\text{  }}\left( \tau _{0}\right)$ $\displaystyle =$ $\displaystyle 2.2-0.02\sin (2\pi \frac{\tau
_{0}}{3})+0.05\tau _{0}.$  

The CMP maximum offset-to-depth ratio is nearly 2.0 for large value of the horizontal slope $ p$ . This should guarantee the necessary data sensitivity for resolving high-order moveout parameters (Tsvankin, 2006). Figure 3b shows local event slopes $ R$ measured from the data using the plane-wave destruction (PWD) algorithm (see Appendix A). Plane-wave destruction predicts each seismic trace from a neighboring one along local slopes. As explained in appendix A, local slopes are extracted by minimizing the prediction error in an iterative regularized least-squares optimization. Shaping regularization controls the smoothness of the estimated slope field (Fomel, 2007a). If the seismic data are particularly noisy, a more aggressive regularization can help in getting a more consistent and stable estimate. For cleaner data, less smoothing yields a better-resolved and detailed slope field.

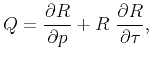
Unlike slopes, we don't directly estimate the curvature field $ Q$ . We compute the curvature by simply differentiating the slope estimate. Since slope $ R=R(\tau ,p)$ depends on both the current ray parameter $ p$ and the time $ \tau =\tau (p)$ , which is again a function of $ p$ , we compute the derivative of the slope field by a straightforward application of the chain rule, as follows:

$\displaystyle Q=\frac{\partial R}{\partial p}+R \frac{\partial R}{\partial \tau},$ (21)

The slope gradient components are easily obtained by numerical differentiation. Unfortunately, this procedure suffers from numerical instability, because finite differences act like a high-pass filter that enhances the high frequency noise, especially when we are dealing with real data set with poor SNR (signal-to-noise ratio). A noisy or biased estimate of the curvature field may affect the final result. Figure 3c shows the curvature field $ Q$ for the synthetic data, computed according to equation 21.

dataNMO1
dataNMO1
Figure 4.
(b) Time mapping of each data sample from $ \tau $ -$ p$  time to the zero-slope time $ \tau _{0}$ according to relation 15. These time values predict correctly reflection traveltime trajectory, the red lines in (a), which are then warped until they are completely flattened (c)
[pdf] [png] [scons]

Figure 4b represents the zero-slope traveltime $ \tau _{0}$ mapped according to the oriented NMO formula in equation 15. These values predict correctly the reflection trajectories (red lines in Figure 4a) which then get warped until they are completely flattened (Figure 4c). Moreover, the oriented NMO does not introduce stretch effects as the traditional NMO processing. This is because the slope-based NMO applies a locally static shift to each data sample as opposed to to the dynamic one of the conventional NMO correction.

mapE
mapE
Figure 5.
Effective normal moveout velocity (a), horizontal velocity (b) and anellipticity parameter $ \eta $ (c) computed as a data attribute through local estimate of slopes and curvature. These values are here mapped to the appropriate zero-slope $ \tau _{0}$ time using oriented NMO described by the equation 15.
[pdf] [png] [scons]

In conventional NMO processing, one scans a number of velocities, performs the corresponding moveout corrections, and picks the velocity trend from velocity spectra maxima. In the oriented processing, according to equations 16-18, anisotropy parameters become data attributes rather than prerequisites for imaging. Figure 5 shows the effective $ V_{N}$ , $ V_{H}$ and $ \eta $ values as data attributes mapped to the correct vertical time $ \tau _{0}$ position according to equation 15. These parameters have been obtained from the data through an automatic estimation of the local-slope field. The computational speed together with the automation are the main advantages of oriented processing.

Even though this synthetic data is noise-free, the slope and curvature estimates are not perfect. Nevertheless, Figure 5 shows a nearly constant trend along $ p$ direction of the recovered parameters that confirms the reliability of our method. Despite the large offset-to-depth ratio, we observe that $ V_{H}$ and $ \eta $ are more sensitive to the slope estimate uncertainty, which agrees with the observation of Tsvankin (2006) that high-order moveout parameters are in general less constrained than the short-spread normal moveout velocity $ {V}_{N}$ . The reduced data sensitivity to $ V_{H}$ and $ \eta $ at short offsets can explain the errors in the upper-right corner in panels (b) and (c) in Figure 5. A proper filtering procedure of the parameter maps may allow us to recover accurate parameter trends like those in Figure 6. The panels in Figure 6 represent semblance-like spectra computed by mapping each data sample to its parameter value at the zero-slope time $ \tau _{0}$ . The yellow lines indicate the exact effective-parameter profiles used to generate the synthetic gather and confirm that our estimations follow the exact trends. Compared to conventional semblance spectra, these plots do not show the elongated ``bull's eye'' patterns which grow with increasing time. The improved resolution comes from the slope estimation accuracy and relates to the quality and complexity of the input data.

eff-Syn
eff-Syn
Figure 6.
Effective normal moveout velocity (a), horizontal velocity (b) and anellipticity parameter $ \eta $ (c) semblance-like spectra. The yellow profiles indicate the exact effective values used for generating the synthetic data in Figure 3 (a). Compared to conventional semblance spectra, these plots do not show the elongated bull-eye pattern which enlarges with increasing time.
[pdf] [png] [scons]


next up previous [pdf]

Next: Estimation of interval parameters Up: Casasanta & Fomel: Velocity-independent Previous: Velocity Independent -p moveout

2011-06-25