next up previous [pdf]

Next: Second step of the Up: IN SEARCH OF THE Previous: IN SEARCH OF THE

First step of the improvement

Assuming $n>1$, we can add some amount of the previous step ${\bf s}_{n-1}$ to the chosen direction ${\bf c}_n$ to produce a new search direction ${\bf s}_n^{(n-1)}$, as follows:
\begin{displaymath}
{\bf s}_n^{(n-1)} = {\bf c}_n + \beta_n^{(n-1)} {\bf s}_{n-1}\;,
\end{displaymath} (10)

where $\beta_n^{(n-1)}$ is an adjustable scalar coefficient. According to to the fundamental orthogonality principle (7),
\begin{displaymath}
\left({\bf
r}_{n-1}, {\bf A s}_{n-1}\right) = 0\;.
\end{displaymath} (11)

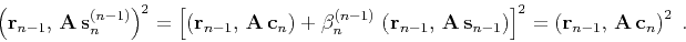
As follows from equation (11), the numerator on the right-hand side of equation (9) is not affected by the new choice of the search direction:
\begin{displaymath}
\left({\bf r}_{n-1}, {\bf A s}_n^{(n-1)}\right)^2 = \left[...
...ght)\right]^2 =
\left({\bf r}_{n-1}, {\bf A c}_n\right)^2\;.
\end{displaymath} (12)

However, we can use transformation (10) to decrease the denominator in (9), thus further decreasing the residual ${\bf
r}_n$. We achieve the minimization of the denominator
\begin{displaymath}
\Vert{\bf A s}_n^{(n-1)}\Vert^2 = \Vert{\bf A c}_n\Vert^2 ...
...+
\left(\beta_n^{(n-1)}\right)^2 \Vert{\bf A s}_{n-1}\Vert^2
\end{displaymath} (13)

by choosing the coefficient $\beta_n^{(n-1)}$ to be
\begin{displaymath}
\beta_n^{(n-1)} = - {{\left({\bf A c}_n, {\bf A s}_{n-1}\right)} \over
{\Vert{\bf A s}_{n-1}\Vert^2}}\;.
\end{displaymath} (14)

Note the analogy between (14) and (6). Analogously to (7), equation (14) is equivalent to the orthogonality condition
\begin{displaymath}
\left({\bf A s}_n^{(n-1)}, {\bf A s}_{n-1}\right) = 0\;.
\end{displaymath} (15)

Analogously to (8), applying formula (14) is also equivalent to defining the minimized denominator as
\begin{displaymath}
\Vert{\bf A c}_n^{(n-1)}\Vert^2 = \Vert{\bf A c}_n\Vert^2 ...
...A s}_{n-1}\right)^2} \over
{\Vert{\bf A s}_{n-1}\Vert^2}}\;.
\end{displaymath} (16)


next up previous [pdf]

Next: Second step of the Up: IN SEARCH OF THE Previous: IN SEARCH OF THE

2013-03-03