next up previous [pdf]

Next: Induction Up: IN SEARCH OF THE Previous: First step of the

Second step of the improvement

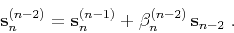
Now let us assume $n > 2$ and add some amount of the step from the $(n-2)$-th iteration to the search direction, determining the new direction ${\bf s}_n^{(n-2)}$, as follows:
\begin{displaymath}
{\bf s}_n^{(n-2)} = {\bf s}_n^{(n-1)} + \beta_n^{(n-2)} {\bf s}_{n-2}\;.
\end{displaymath} (17)

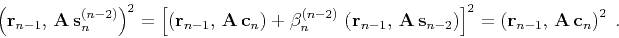
We can deduce that after the second change, the value of numerator in equation (9) is still the same:
\begin{displaymath}
\left({\bf r}_{n-1}, {\bf A s}_n^{(n-2)}\right)^2 = \left[...
...ght)\right]^2 =
\left({\bf r}_{n-1}, {\bf A c}_n\right)^2\;.
\end{displaymath} (18)

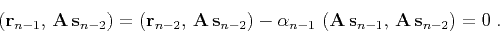
This remarkable fact occurs as the result of transforming the dot product $\left({\bf
r}_{n-1}, {\bf A s}_{n-2}\right)$ with the help of equation (4):
\begin{displaymath}
\left({\bf r}_{n-1}, {\bf A s}_{n-2}\right) =
\left({\bf r...
...{n-1} \left({\bf A s}_{n-1}, {\bf A s}_{n-2}\right) = 0\;.
\end{displaymath} (19)

The first term in (19) is equal to zero according to formula (7); the second term is equal to zero according to formula (15). Thus we have proved the new orthogonality equation
\begin{displaymath}
\left({\bf r}_{n-1}, {\bf A s}_{n-2}\right) = 0\;,
\end{displaymath} (20)

which in turn leads to the numerator invariance (18). The value of the coefficient $\beta_n^{(n-2)}$ in (17) is defined analogously to (14) as
\begin{displaymath}
\beta_n^{(n-2)} = -
{{\left({\bf A s}_n^{(n-1)}, {\bf A ...
...f A s}_{n-2}\right)} \over
{\Vert{\bf A s}_{n-2}\Vert^2}}\;,
\end{displaymath} (21)

where we have again used equation (15). If ${\bf A s}_{n-2}$ is not orthogonal to ${\bf A c}_n$, the second step of the improvement leads to a further decrease of the denominator in (8) and, consequently, to a further decrease of the residual.


next up previous [pdf]

Next: Induction Up: IN SEARCH OF THE Previous: First step of the

2013-03-03