next up previous [pdf]

Next: FROM KINEMATICS TO DYNAMICS Up: KINEMATICS OF VELOCITY CONTINUATION Previous: Kinematics of Residual NMO

Kinematics of Residual DMO

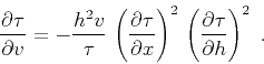
The partial differential equation for kinematic residual DMO is the third term in equation (1):
\begin{displaymath}
{{\partial \tau} \over {\partial v}} =
- {{h^2 v} \over {\t...
...ht)^2\,
\left({{\partial \tau} \over {\partial h}}\right)^2\;.
\end{displaymath} (30)

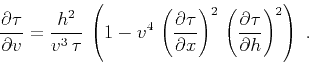
It is more convenient to consider the residual dip-moveout process coupled with residual normal moveout. Etgen (1990) describes this procedure as the cascade of inverse DMO with the initial velocity $v_0$, residual NMO, and DMO with the updated velocity $v_1$. The kinematic equation for residual NMO+DMO is the sum of the two terms in (1):
\begin{displaymath}
{{\partial \tau} \over {\partial v}} =
{{h^2} \over {v^3\,\...
...
\left({{\partial \tau} \over {\partial h}}\right)^2\right)\;.
\end{displaymath} (31)

The derivation of the residual DMO+NMO kinematics is detailed in Appendix B. Figure 5 illustrates it with the theoretical impulse response curves. Figure 6 compares the theoretical curves with the result of an actual cascade of the inverse DMO, residual NMO, and DMO operators.

vlcvcp
vlcvcp
Figure 5.
Theoretical kinematics of the residual NMO+DMO impulse responses for three impulses. Left plot: the velocity ratio $v_1/v_0$ is $1.333$. Right plot: the velocity ratio $v_1/v_0$ is $0.833$. In both cases the half-offset $h$ is 1 km.
[pdf] [png] [sage]

vlccps
vlccps
Figure 6.
The result of residual NMO+DMO (cascading inverse DMO, residual NMO, and DMO) for three impulses. Left plot: the velocity ratio $v_1/v_0$ is $1.333$. Right plot: the velocity ratio $v_1/v_0$ is $0.833$. In both cases the half-offset $h$ is 1 km.
[pdf] [png] [scons]

Figure 7 illustrates the residual NMO+DMO velocity continuation for two particularly interesting cases. The left plot shows the continuation for a point diffractor. One can see that when the velocity error is large, focusing of the velocity rays forms a distinctive loop on the zero-offset hyperbola. The right plot illustrates the case of a plane dipping reflector. The image of the reflector shifts both vertically and laterally with the change in NMO velocity.

vlcvrd
vlcvrd
Figure 7.
Kinematic velocity continuation for residual NMO+DMO. Solid lines denote wavefronts: zero-offset traveltime curves; dashed lines denote velocity rays. a: the case of a point diffractor; the velocity ratio $v_1/v_0$ changes from $0.9$ to $1.1$. b: the case of a dipping plane reflector; the velocity ratio $v_1/v_0$ changes from $0.8$ to $1.2$. In both cases, the half-offset $h$ is 2 km.
[pdf] [png] [sage]

The full residual migration operator is the chain of residual zero-offset migration and residual NMO+DMO. I illustrate the kinematics of this operator in Figures 8 and 9, which are designed to match Etgen's Figures 2.4 and 2.5 (Etgen, 1990). A comparison with Figures 3 and 4 shows that including the residual DMO term affects the images of objects with the depth smaller than the half-offset $h$. This term complicates the residual migration operator with cusps.

vlcve3
Figure 8.
Summation paths of prestack residual migration for a series of depth diffractors. Residual slowness $v/v_d$ is 1.2; half-offset $h$ is 1 km. This figure reproduces Etgen's Figure 2.4.
vlcve3
[pdf] [png] [sage]

vlcve4
Figure 9.
Summation paths of prestack residual migration for a series of depth diffractors. Residual slowness $v/v_d$ is 0.8; half-offset $h$ is 1 km. This figure reproduces Etgen's Figure 2.5.
vlcve4
[pdf] [png] [sage]


next up previous [pdf]

Next: FROM KINEMATICS TO DYNAMICS Up: KINEMATICS OF VELOCITY CONTINUATION Previous: Kinematics of Residual NMO

2014-04-01