next up previous [pdf]

Next: Conclusions Up: FROM KINEMATICS TO DYNAMICS Previous: Dynamics of Residual NMO

Dynamics of Residual DMO

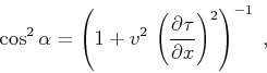
The case of residual DMO complicates the building of a dynamic equation because of the essential nonlinearity of the kinematic equation (30). One possible way to linearize the problem is to increase the order of the equation. In this case, the resultant dynamic equation would include a term that has the second-order derivative with respect to velocity $v$. Such an equation describes two different modes of wave propagation and requires additional initial conditions to separate them. Another possible way to linearize equation (30) is to approximate it at small dip angles. In this case, the dynamic equation would contain only the first-order derivative with respect to the velocity and high-order derivatives with respect to the other parameters. The third, and probably the most attractive, method is to change the domain of consideration. For example, one could switch from the common-offset domain to the domain of offset dip. This method implies a transformation similar to slant stacking of common-midpoint gathers in the post-migration domain in order to obtain the local offset dip information. Equation (30) transforms, with the help of the results from Appendix A, to the form
\begin{displaymath}
v^3\,{{\partial \tau} \over {\partial v}} =
{{\tau\,\sin^2{\theta}} \over
{\cos^2{\alpha} - \sin^2{\theta}}}\;,
\end{displaymath} (48)

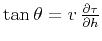
with
\begin{displaymath}
\cos^2{\alpha} = \left(1 + v^2 \,
\left({{\partial \tau} \over {\partial x}}\right)^2\right)^{-1}\;,
\end{displaymath} (49)

and
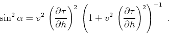
\begin{displaymath}
\sin^2{\alpha} = v^2\,
\left({{\partial \tau} \over {\partia...
...t({{\partial \tau} \over {\partial h}}\right)^2\right)^{-1}\;.
\end{displaymath} (50)

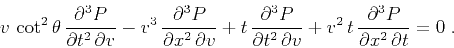
For a constant offset dip $\tan{\theta} = v\,{{\partial \tau} \over
{\partial h}}$, the dynamic analog of equation (48) is the third-order partial differential equation
\begin{displaymath}
v\, \cot^2{\theta}\,{{\partial^3 P} \over {\partial t^2\, \p...
...\,t\,{{\partial^3 P} \over {\partial x^2\, \partial t}} = 0\;.
\end{displaymath} (51)

Equation (51) does not strictly comply with the theory of second-order linear differential equations. Its properties and practical applicability require further research.


next up previous [pdf]

Next: Conclusions Up: FROM KINEMATICS TO DYNAMICS Previous: Dynamics of Residual NMO

2014-04-01