next up previous [pdf]

Next: Algorithm Up: Alkhalifah and Fomel: Source Previous: A linear velocity model

Higher-order accuracy

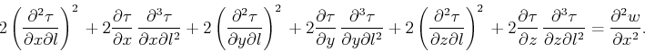
The accuracy of the above formulations are first order in source perturbation, which is valid for small perturbation distances. To obtain a higher-order accuracy, we differentiate equation 3 again with respect to $l$ yielding:

\begin{displaymath}
2 \left(\frac{\partial^2 \tau}{\partial x \partial l}\right)...
...{\partial z \partial l^2} = \frac{\partial^2 w}{\partial x^2}.
\end{displaymath} (18)

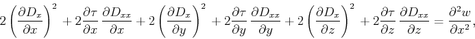
Substituting the second derivative of traveltime with respect to source location $D_{xx}=\frac{\partial^2 \tau}{\partial l^2}$ into equation 18 provides us with a first order linear partial differential equation in $D_{xx}$ given by:

\begin{displaymath}
2 \left(\frac{\partial D_x}{\partial x}\right)^2 \, +
2 \fr...
...rtial D_{xx}}{\partial z} = \frac{\partial^2 w}{\partial x^2},
\end{displaymath} (19)

or
\begin{displaymath}
\nabla D_x \cdot \nabla D_x \, + \,\nabla \tau \cdot \nabla D_{xx} \, = \, \frac{1}{2} \frac{\partial^2 w}{\partial x^2}
\end{displaymath} (20)

This equation is similar in form to the first order equations, but with a different source function. Of course, $D_x$ must be evaluated first using equation 4 to solve equation 20.

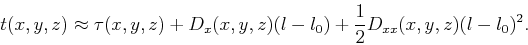
Based on Taylor's series expansion, the traveltime for a source at $l$ is approximated by

\begin{displaymath}
t(x,y,z) \approx \tau(x,y,z) + D_x(x,y,z) (l-l_0)+ \frac{1}{2} D_{xx}(x,y,z) (l-l_0)^2.
\end{displaymath} (21)

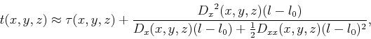
Using an infinite series representation by defining poles to eliminate the most pronounced transient behavior using Shanks transforms (Bender and Orszag, 1978), we can represent the second order Taylor's expansion in equation 21 as follows

\begin{displaymath}
t(x,y,z) \approx \tau(x,y,z) + \frac{{D_x}^2(x,y,z) (l-l_0)}{D_x(x,y,z) (l-l_0)+ \frac{1}{2} D_{xx}(x,y,z) (l-l_0)^2},
\end{displaymath} (22)

which can provide a better approximation results in some regions but has an obvious singularity that might cause divergence when the denominator tends to zero.

Similar equations for expansions in 3-D are obtained with the help of the following matrix

\begin{displaymath}
\left(
\begin{array}{ccc}
D_{xx} & D_{xy} & D_{xz} \\
D_{xy...
...} & \frac{\partial^2 \tau}{\partial l_z^2}
\end{array}\right),
\end{displaymath} (23)

with components obtainable using similar first order partial differential equations shown in Appendix A, where $l_x$, $l_y$, and $l_z$ describe source perturbations in the $x$, $y$, and $z$ directions, respectively. These equations can form the basis for beam expansions in beam-type migrations.

The higher-order equations provide better approximations of the traveltime perturbation. However, they require both the velocity and its derivative to be continuous in the direction of the source perturbation.


next up previous [pdf]

Next: Algorithm Up: Alkhalifah and Fomel: Source Previous: A linear velocity model

2013-04-02