 |
 |
 |
 | Wavefield extrapolation in pseudodepth domain |  |
![[pdf]](icons/pdf.png) |
Next: Appendix B: domain traveltime
Up: Wavefield extrapolation in pseudodepth
Previous: Acknowledgments
Transofrmation between general coordinates is conveniently handled by tensor calculus.
We consider a genearl curvilinear, possibly nonorthogonal, coordinate system
and Cartesian coordinates
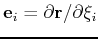
. At each point
in space, two sets of basis vectors exist: covariant vectors
and contravariant vectors
.
Basis vectors
and
are, in general, not of unit length.
A metric tensor is a second-order symmetric tensor from which the unit arc length, unit area and unit volume can be computed easily. Each element of the covariant metric tensor
is the inner product of a pair of covariant vectors,
. The contravariant metric tensor is defined similarly,
.
The two metric tensors form a pair of inverse matrices
. If the curvilinear coordinate system
is orthogonal, for example spherical coordinates, the two basis vectors coincide and metric tensors become diagonal matrices.
Transformations between coordinate systems are characterized by Jacobian matrix
, defined as
for the transformation from coordinate system
to
. In the case that
is Cartesian coordinates, we noticed that each row of
is one contravariant basis vector
, thus the metric tensors can be computed from Jacobian matrix,
and
.
Once the basis vectors and metric tensors are known, differentiations in the curvilinear coordinates
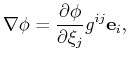
is straightforward. The gradient of scalar
is (Riley et al., 2006)
 |
(29) |
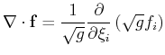
and the divergence of
is
 |
(30) |
where
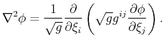
. Combining these two expression give the Laplacian of scalar
 |
(31) |
 |
 |
 |
 | Wavefield extrapolation in pseudodepth domain |  |
![[pdf]](icons/pdf.png) |
Next: Appendix B: domain traveltime
Up: Wavefield extrapolation in pseudodepth
Previous: Acknowledgments
2013-04-02