next up previous [pdf]

Next: Appendix C: Stability analysis Up: Wavefield extrapolation in pseudodepth Previous: Appendix A: Overview of

Appendix B: $ \tau $ domain traveltime

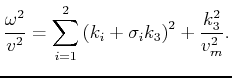
A geometrical description of the $ \tau $ domain isotropic wavefield can be achieved by looking at its eikonal. A dispersion relation associated with the $ \tau $ domain wave equation 15 is obtained by taking Fourier transform of this equation in space and time, specifically, do the substitution $ \partial t \rightarrow -i\omega$ and $ \partial x_i \rightarrow i k_i$ , the result is

$\displaystyle \frac{\omega^2}{v^2} = \sum_{i=1}^2 \left(k_i + \sigma_i k_3\right)^2 + \frac{k_3^2}{v_m^2} .$ (32)

Note here $ k_1$ and $ k_2$ has units of $ \mathrm{rad/m}$ , while $ k_3$ has the angular frequency unit of $ \mathrm{rad/sec}$ .

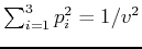
We then relate slowness vector $ \mathbf{p}$ with wavenumber vector $ \mathbf{k}$ by $ \mathbf{k} = \omega \mathbf{p}$ , thus the $ \tau $ domain isotropic eikonal equation is

$\displaystyle \frac{1}{v^2} = \sum_{i=1}^2 \left(p_i + \sigma_i p_3\right)^2 + \frac{p_3^2}{v_m^2}$ (33)

where $ p_i = \partial T / \partial x_i$ is the component of slowness vector in the $ x_i$ direction, $ T$ is traveltime. Similarly, while $ p_1$ and $ p_2$ has slowness units $ \mathrm{sec/m}$ , $ p_3$ is dimensionless. Alternatively, Equation G-2 can be derived by applying chain rule 9 to the Cartesian domain eikonal $ \sum_{i=1}^3 p_i^2 = 1/v^2$ .


next up previous [pdf]

Next: Appendix C: Stability analysis Up: Wavefield extrapolation in pseudodepth Previous: Appendix A: Overview of

2013-04-02