 |
 |
 |
 | Wavefield extrapolation in pseudodepth domain |  |
![[pdf]](icons/pdf.png) |
Next: Anisotropic extrapolation
Up: pseudodepth domain wave equation
Previous: Vertical time coordinate frame
Alkhalifah et al. (2001) obtained
-domain wave equation by applying a coordinate transformation to the conventional eikonal equation and then
develop the dynamic part by inverse Fourier transform in space and time to formulate a wave equation in
domain.
Because of the high frequency assumption of eikonal equation, the resulting wave equation is not accurate in amplitudes.
Here, we derive the coordinate transformation to the differentiations in wave equation directly.
From Equations in 5, we can obtain the Jacobian matrix associated with coordinate transformation from Cartesian domain
to
-domain
![$\displaystyle \mathbf{J} = \left[\frac{\partial \xi_i}{\partial x_j}\right] = \...
...{bmatrix}1 & 0 & 0 0 & 1 & 0 \sigma_1 & \sigma_2 & 1 / v_m\end{bmatrix} ,$](img39.png) |
(7) |
where we have denoted horizontal variation of vertical time by
.
The nonzero off-diagonal elements in the Jacobian matrix
indicate that
coordinates are nonorthogonal.
From the Jacobian matrix we can compute its metric tensor
![$\displaystyle [g^{ij}] = \mathbf{J} \mathbf{J}^T = \begin{bmatrix}1 & & \sigma_...
...\sigma_1 & \sigma_2 & \sigma_1^2 + \sigma_2^2 + \frac{1}{v_m^2} \end{bmatrix} .$](img42.png) |
(8) |
and its determinant
.
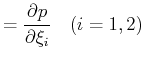
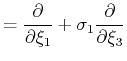
Using the Jacobian matrix defined in 7, we obtain the following derivative transformations:
A brief overview of the relevant tensor calculus theory is enclosed in Appendix A.
The two-way wave equation may be written in the following first order system
 |
(10) |
where
is stress and
is particle momentum.
The gradient of a scalar
in a general curvilinear coordinate frame
is
 |
(11) |
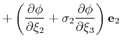
which upon substitution of
domain metric tensor 8 gives the following form of the
domain gradient operator
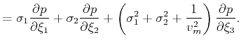
The divergence of vector
in a general curvilinear coordinate frame
is
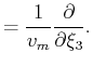
 |
(13) |
Similarly we can find the
domain divergence using equation 8 as follows
 |
(14) |
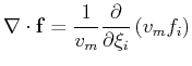
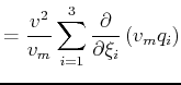
A
domain two-way wave equation is established by substituting the gradient and divergence operators in equations 12 and 14 into equation 10,
This new wave equation is seemingly more complex then the normal two-way wave equation 10. It, however, does not raise the computational cost significantly because the number of differentiations on the right-hand side of the system is
for both Equations 15 and 10. The only cost increase comes from the multiplication with the
terms, which is less costly than differentiations. As will be shown in the next section, the additional cost due to
terms is in practice offset by an efficiency gain due to reduced vertical sampling.
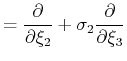
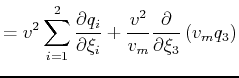
If the
coordinate system is orthogonal, in other words,
is laterally constant, and thus,
, then the Jacobian matrix becomes diagonal
and the metric tensor
. The two-way wave equation 15 simplifies to
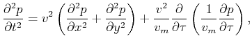
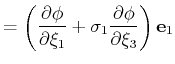
The simplicity of this equation allows us to reorganize it into a second-order form
 |
(17) |
which upon expansion becomes
 |
(18) |
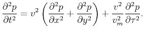
Since the first-order derivatives affect only the amplitude of the solution (Courant and Hilbert, 1989), the last term in Equation 18 can be dropped while retaining a kinematically correct solution, the resulting wave equation is
 |
(19) |
When both
and
are constants, the wavefront described by Equation 19 is an ellipse. This suggests that elliptical anisotropy can be viewed as a linear change of the variable
to isotropic velocity.
 |
 |
 |
 | Wavefield extrapolation in pseudodepth domain |  |
![[pdf]](icons/pdf.png) |
Next: Anisotropic extrapolation
Up: pseudodepth domain wave equation
Previous: Vertical time coordinate frame
2013-04-02