next up previous [pdf]

Next: Implementation aspects Up: pseudodepth domain wave equation Previous: Isotropic extrapolations

Anisotropic extrapolation

Velocity variation with angle in anisotropic media allows more choices for the mapping velocity $ v_m$ in Equation 2. It is natural to use, but not limited to, the vertical velocity, $ v_v$ , as $ v_m$ .

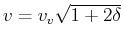
The kinematics of a quasi-P wave in an anisotropic acoustic medium can be characterized by three parameters: P-wave velocity in the direction of the axis of symmetry $ v_v$ , NMO velocity $ v = v_v\sqrt{1+2\delta}$ and anellipticity $ \eta = (\epsilon-\delta) / (1 + 2\delta)$  (Alkhalifah, 2000), here $ \epsilon$ and $ \delta$ are Thomsen parameters (Thomsen, 1986).

The quasi-P wave motion in transversely isotropic media with vertical axis of symmetry (VTI) is described by the following first-order system (Duveneck and Bakker, 2011)

$\displaystyle \frac{\partial p_H}{\partial t}$ $\displaystyle = (1+2\eta)v^2 \left(\frac{\partial q_1}{\partial x_1} + \frac{\partial q_2}{\partial x_2}\right) + v v_v\frac{\partial q_3}{\partial x_3}$    
$\displaystyle \frac{\partial p_V}{\partial t}$ $\displaystyle = v v_v \left(\frac{\partial q_1}{\partial x_1} + \frac{\partial q_2}{\partial x_2}\right) + v_v^2 \frac{\partial q_3}{\partial x_3}$ (20)
$\displaystyle \frac{\partial q_i}{\partial t}$ $\displaystyle = \frac{\partial p_H}{\partial x_i} \quad (i=1,2)$    
$\displaystyle \frac{\partial q_3}{\partial t}$ $\displaystyle = \frac{\partial p_V}{\partial x_3} ,$    

where $ p_H$ and $ p_V$ are horizontal and vertical stresses, $ -\mathbf{q}$ is the particle momentum.

In the $ \tau $ domain, the wave equation is obtained by applying the chain rule 9 to 20, the resulting system of equations is

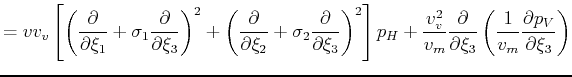
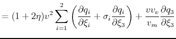
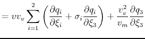
$\displaystyle \frac{\partial p_H}{\partial t}$ $\displaystyle = (1+2\eta)v^2 \sum_{i=1}^2 \left(\frac{\partial q_i}{\partial \x...
...{\partial \xi_3}\right) + \frac{v v_v}{v_m} \frac{\partial q_3}{\partial \xi_3}$    
$\displaystyle \frac{\partial p_V}{\partial t}$ $\displaystyle = v v_v \sum_{i=1}^2 \left(\frac{\partial q_i}{\partial \xi_i} + ...
...{\partial \xi_3}\right) + \frac{v_v^2}{v_m} \frac{\partial q_3}{\partial \xi_3}$ (21)
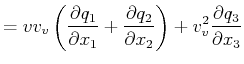
$\displaystyle \frac{\partial q_i}{\partial t}$ $\displaystyle = \frac{\partial p_H}{\partial \xi_i} + \sigma_i\frac{\partial p_H}{\partial \xi_3} \quad (i=1,2)$    
$\displaystyle \frac{\partial q_3}{\partial t}$ $\displaystyle = \frac{1}{v_m} \frac{\partial p_V}{\partial \xi_3}$    

Equation 20 has the second-order form

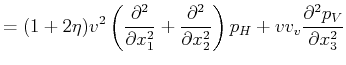
$\displaystyle \frac{\partial^2 p_H}{\partial t^2}$ $\displaystyle = (1+2\eta)v^2 \left(\frac{\partial^2}{\partial x_1^2} + \frac{\partial^2}{\partial x_2^2}\right) p_H + v v_v\frac{\partial^2 p_V}{\partial x_3^2}$    
$\displaystyle \frac{\partial^2 p_V}{\partial t^2}$ $\displaystyle = v v_v \left(\frac{\partial^2}{\partial x_1^2} + \frac{\partial^2}{\partial x_2^2}\right) p_H + v_v^2 \frac{\partial p_V}{\partial x_3^2} .$ (22)

Similarly, the second order form of 21 is

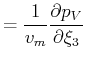
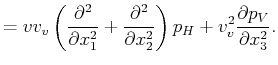
$\displaystyle \frac{\partial^2 p_H}{\partial t^2}$ $\displaystyle = (1+2\eta)v^2 \left[ \left(\frac{\partial}{\partial \xi_1} + \si...
...\partial \xi_3} \left(\frac{1}{v_m} \frac{\partial p_V}{\partial \xi_3} \right)$    
$\displaystyle \frac{\partial^2 p_V}{\partial t^2}$ $\displaystyle = v v_v \left[ \left(\frac{\partial}{\partial \xi_1} + \sigma_1\f...
...\partial \xi_3} \left(\frac{1}{v_m} \frac{\partial p_V}{\partial \xi_3} \right)$ (23)

In addition to the cost reduction, the vertical time axis also allows time processing in VTI media to be independent of the vertical velocity $ v_v$ , which is usually unresolvable from surface seismic data.

In transversely isotropic media with tilted axis of symmetry (TTI), the symmetry plane and symmetry axis are rotated by tilt angle $ \theta$ and azimuth $ \phi$ . The two-way wave equation is obtained by substituting derivatives in Equation 20 by the following relations

$\displaystyle \frac{\partial}{\partial x_1}$ $\displaystyle \leftarrow \cos\theta\cos\phi \frac{\partial}{\partial x_1} + \co...
...in\phi \frac{\partial}{\partial x_2} - \sin\theta \frac{\partial}{\partial x_3}$    
$\displaystyle \frac{\partial}{\partial x_2}$ $\displaystyle \leftarrow -\sin\phi \frac{\partial}{\partial x_1} + \cos\phi \frac{\partial}{\partial x_2}$ (24)
$\displaystyle \frac{\partial}{\partial x_3}$ $\displaystyle \leftarrow \sin\theta\cos\phi \frac{\partial}{\partial x_1} + \si...
...\phi \frac{\partial}{\partial x_2} + \cos\theta \frac{\partial}{\partial x_3} .$    

In $ \tau $ domain, the TTI extrapolation equation is obtained by replacing each of the spatial derivatives $ \partial / \partial x_i \; (i=1,2,3)$ on the right-hand side of Equation 24 by the expressions given by chain rule in Equation 9. The $ \tau $ coordinate transformation does not affect stability of the extrapolation.


next up previous [pdf]

Next: Implementation aspects Up: pseudodepth domain wave equation Previous: Isotropic extrapolations

2013-04-02