 |
 |
 |
 | Wavefield extrapolation in pseudodepth domain |  |
![[pdf]](icons/pdf.png) |
Next: Bibliography
Up: Wavefield extrapolation in pseudodepth
Previous: Appendix B: domain traveltime
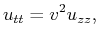
For homogeneous velocity and regularly spaced grids, the stability condition is often studied by Von Neumann analysis (Trefethen, 1994). Consider
-D second-order wave equation,
 |
(34) |
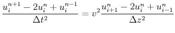
approximated by central difference in space and time
 |
(35) |
where superscripts indicate time index and subscripts indicate space index.
Substitute ansatz
into Equation H-2 yields
 |
(36) |
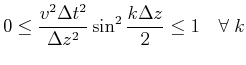
where amplification factor
characterizes the growth of the numerical solution during iteration. Stability of the numerical solution requires
for all wavenumbers
. It can be shown that in order for the quadratic equation
 |
(37) |
to have bounded roots
, it is necessary that
. This is equivalent to
 |
(38) |
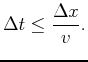
thus yields the well-known CFL condition
 |
(39) |
In
domain, the
-D problem can be extracted from the vertical component of Equation 19
 |
(40) |
Following the same analysis for H-2, we can obtain
domain CFL condition
 |
(41) |
 |
 |
 |
 | Wavefield extrapolation in pseudodepth domain |  |
![[pdf]](icons/pdf.png) |
Next: Bibliography
Up: Wavefield extrapolation in pseudodepth
Previous: Appendix B: domain traveltime
2013-04-02