Consider a block of 3D data
of
by
by
samples
. The MSSA (Oropeza and Sacchi, 2011) operates on the data in the following way: first, MSSA transforms
into
of complex values of the frequency domain. Each frequency slice of the data, at a given frequency
, can be represented by the following matrix:
 |
(1) |
To avoid notational clutter we omit the argument
. Second, MSSA constructs a Hankel matrix for each row of
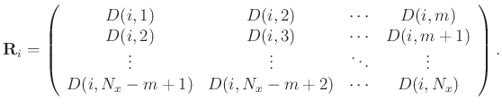
; the Hankel matrix
for row
of
is as follows:
 |
(2) |
Then MSSA constructs a block Hankel matrix
for
:
 |
(3) |
The size of
is
,
,
.
and
are predifined integers chosen such that the block Hankel matrices
and
are close to square matrices. The transformation of the data matrix into a block Hankel matrix can be represented in operator notation as follows:
 |
(4) |
where
denotes the Hankelization operator.
In general, the block Hankel matrix
can be represented as:
 |
(5) |
where
and
denote the block Hankel matrix of signal and of random noise, respectively.
We assume that
and
have full rank,
=
and
has deficient rank,
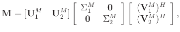
. The singular value decomposition (SVD) of
can be represented as:
![$\displaystyle \mathbf{M} = [\mathbf{U}_1^M\quad \mathbf{U}_2^M]\left[\begin{arr...
...t[\begin{array}{c}
(\mathbf{V}_1^M)^H\\
(\mathbf{V}_2^M)^H
\end{array}\right],$](img39.png) |
(6) |
where
(
) and
(
) are diagonal matrices and contain, respectively, larger singular values and smaller singular values.
(
),
(
),
(
) and
(
) denote the associated matrices with singular vectors. The symbol
denotes the conjugate transpose of a matrix. In general the signal is more energy-concentrated and correlative than the random noise. Thus, the larger singular values and their associated singular vectors represent the signal, while the smaller values and their associated singular vectors represent the random noise. We let
be
to achieve the goal of attenuating random noise while recovering the missing data during the first iteration in reconstruction process as follows:
 |
(7) |
Equation 7 is referred to as the TSVD, which is used in the conventional MSSA approach.
2020-03-10