 |
 |
 |
 | On anelliptic approximations for qP velocities in TI and orthorhombic media |  |
![[pdf]](icons/pdf.png) |
Next: Extended Muir-Dellinger Approximations
Up: Orthorhombic media
Previous: Orthorhombic media
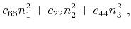
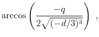
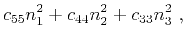
As the analog of equation 9, qP waves have the following well-known explicit exact expression for phase velocity in orthorhombic media (Tsvankin, 2012; Schoenberg and Helbig, 1997; Tsvankin, 1997):
 |
(40) |
where
and
Here,
are density-normalized stiffness tensor coefficients,
,
,
,
is zenith phase angle (measured from
), and
is azimuthal phase angle (measured from
) in the local orthorhombic frame of reference where the axes
,
, and
are intersections of the corresponding planes of symmetry. The corresponding group-velocity expression can be determined from equation 10 extended to 3D.
 |
 |
 |
 | On anelliptic approximations for qP velocities in TI and orthorhombic media |  |
![[pdf]](icons/pdf.png) |
Next: Extended Muir-Dellinger Approximations
Up: Orthorhombic media
Previous: Orthorhombic media
2017-04-14