 |
 |
 |
 | On anelliptic approximations for qP velocities in TI and orthorhombic media |  |
![[pdf]](icons/pdf.png) |
Next: Muir and Dellinger Approximations
Up: Transversely isotropic media
Previous: Transversely isotropic media
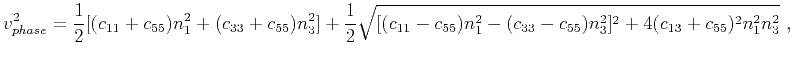
The phase velocity of qP waves in TI media has the following well-known explicit expression (Gassmann, 1964; Berryman, 1979):
![$\displaystyle v^2_{phase} = \frac{1}{2}[(c_{11}+c_{55})n^2_1 + (c_{33}+c_{55})n...
...11}-c_{55})n^2_1 - (c_{33}-c_{55})n^2_3]^2 + 4(c_{13}+c_{55})^2n^2_1n^2_3}~,\\ $](img97.png) |
(9) |
where
are density-normalized stiffness tensor coefficients in Voigt notation,
,
, and
is the phase angle
(measured from the vertical axis). Group velocity can be determined from phase velocity using the general expression (Cervený, 2001)
 |
(10) |
where
denotes the identity matrix,
is the phase direction vector, and
is
the gradient of
with respect to
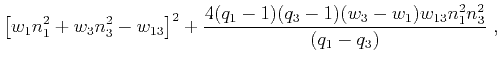
. Using Muir-Dellinger parameters, the exact phase velocity for qP waves (equation 9) can be expressed as
![$\displaystyle v^2_{phase} = \frac{1}{2}\left[w_1n^2_1 + w_3n^2_3 + w_{13}\right] + \frac{1}{2}\sqrt{f}~,\\ $](img108.png) |
(11) |
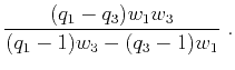
where
 |
 |
 |
 | On anelliptic approximations for qP velocities in TI and orthorhombic media |  |
![[pdf]](icons/pdf.png) |
Next: Muir and Dellinger Approximations
Up: Transversely isotropic media
Previous: Transversely isotropic media
2017-04-14