 |
 |
 |
 | On anelliptic approximations for qP velocities in TI and orthorhombic media |  |
![[pdf]](icons/pdf.png) |
Next: Previous Approximations
Up: Transversely isotropic media
Previous: Exact Expression
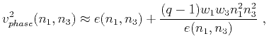
Similar to the derivations by Fomel (2004), the Muir-Dellinger approximations (Muir and Dellinger, 1985; Dellinger et al., 1993) serve as the starting point of our derivation. The Muir-Dellinger phase-velocity approximation is of the following form:
 |
(12) |
where
is the anelliptic parameter (
in case of elliptical anisotropy),
denotes the horizontal (
) velocity squared,
denotes the vertical (
) velocity squared,
and
describes the elliptical part of the velocity and is defined by
 |
(13) |
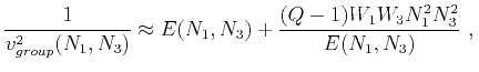
The group-velocity approximation takes a similar form, but with symmetric changes in the coefficients and variables,
 |
(14) |
where
,
,
is group angle (from vertical),
denotes the horizontal slowness squared,
denotes the vertical slowness squared,
, and
describes the elliptical part of the slowness and is defined by
 |
(15) |
As suggested by Muir and Dellinger (1985), the
parameter can be found by fitting the phase-velocity curvature around either the vertical axis (
) or the horizontal axis (
). The explicit expressions of
fitting in those two cases are given in equations 1 and 2. If we define
in equation 14 by fitting the group velocity curvature around either
or
, we find that
 |
(16) |
Extending this idea, Dellinger et al. (1993) proposed four-parameter approximations for phase and group velocites using both
and
.
 |
 |
 |
 | On anelliptic approximations for qP velocities in TI and orthorhombic media |  |
![[pdf]](icons/pdf.png) |
Next: Previous Approximations
Up: Transversely isotropic media
Previous: Exact Expression
2017-04-14