 |
 |
 |
 | 3D generalized nonhyperboloidal moveout approximation |  |
![[pdf]](icons/pdf.png) |
Next: General method for parameter
Up: Nonhyperboloidal moveout approximation
Previous: Nonhyperboloidal moveout approximation
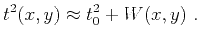
- Setting
, we can obtain the expression of NMO ellipse from equation 1 (Grechka and Tsvankin, 1998):
 |
(3) |
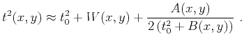
- Setting
,
,
,
, and
, we can reduce equation 1 to the following rational approximation, which is reminiscent of several previously proposed approximations (Tsvankin and Thomsen, 1994; Ursin and Stovas, 2006):
 |
(4) |
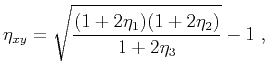
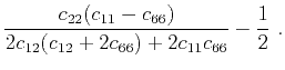
- Considering equation 2 and a horizontal orthorhombic model with
,
,
,
,
, and
, where
is given by (Stovas, 2015)
 |
(5) |
equation 2 reduces to the quartic approximation under the acoustic approximation (Alkhalifah, 2003) without the long-offset normalization:
Here,
,
, and
represent the anellipticity parameters in the planes
,
, and
respectively (Alkhalifah and Tsvankin, 1995; Stovas, 2015; Alkhalifah, 2003) and their definitions in terms of stiffness coefficients under Voigt notation can be given as follows:
The approximation proposed by Al-Dajani and Tsvankin (1998) and Al-Dajani et al. (1998) has the following additional long-offset normalization factor on the quartic term:
 |
(10) |
where
,
is the phase velocity of P waves in the [
,
] plane as opposed to group velocity. This introduction of the normalization term leads to
 |
(11) |
In the limit of
,
and the normalization term becomes equal to one.
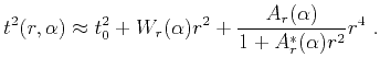
- In an alternative approach to parameterization in an orthorhombic model, we consider the rational approximation in equation 4 with
, and
normalized by a factor of
. Under the choice of linearized coefficients
, and
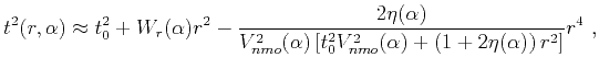
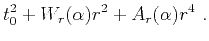
, this leads to the moveout approximation of the form proposed by Xu et al. (2005) and Vasconcelos and Tsvankin (2006):
![$\displaystyle t^2(r,\alpha) \approx t^2_0 + W_r(\alpha)r^2-\frac{2\eta(\alpha)}...
...ha) \left[t^2_0V^2_{nmo}(\alpha) + \left(1+2\eta(\alpha)\right)r^2\right]}r^4~,$](img93.png) |
(12) |
where
 |
(13) |
As shown in Appendix A, the moveout approximation in equation 12 can alternatively be derived from generalized quartic coefficients in weakly anisotropic media on the basis of the perturbation theory in combination with the normalization factor in equation 10.
Analogously to the 2D case, we refer to the proposed approximation (equations 1 and 2) as generalized because of its ability to relate to several other known forms.
 |
 |
 |
 | 3D generalized nonhyperboloidal moveout approximation |  |
![[pdf]](icons/pdf.png) |
Next: General method for parameter
Up: Nonhyperboloidal moveout approximation
Previous: Nonhyperboloidal moveout approximation
2017-04-20