 |
 |
 |
 | 3D generalized nonhyperboloidal moveout approximation |  |
![[pdf]](icons/pdf.png) |
Next: Accuracy tests
Up: General method for parameter
Previous: Zero-offset ray
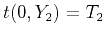
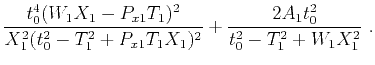
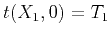
Suppose that each independent
-th ray corresponds to ray parameters
and
and arrives at offset
and
with reflection traveltime
. The
index ranges from 1 to 4 and denotes the associated ray direction of
-axis,
-axis,
, and
respectively. Substituting moveout approximation 1 into equations
and
and solving for
and
, we have, from the ray along
-axis (
) (Fomel and Stovas, 2010):
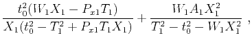
Analogously,
and
can be found from solving equations
and
, which is equivalent to replacing
,
, and
with
,
, and
respectively in equations 15 and 16. The remaining coefficients:
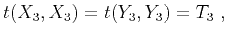
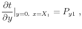
,
,
, and
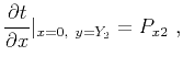
can be solved numerically from the four conditions given below:
They represents matchings of
and
along rays in
and
directions and traveltime
and
along rays in
and
directions.
Provided the above information from the zero-offset ray and four finite-offset rays, we can define the remaining parameters appearing in the proposed moveout approximation (equation 1) in a systematic manner.
 |
 |
 |
 | 3D generalized nonhyperboloidal moveout approximation |  |
![[pdf]](icons/pdf.png) |
Next: Accuracy tests
Up: General method for parameter
Previous: Zero-offset ray
2017-04-20