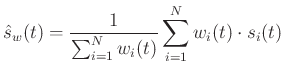
Weighted stacking

However, the quality of each trace is different and each trace should contribute differently to the final stacked trace. A better stacking approach is to weight each trace before stacking based on certain criteria. The weighted stacking process can be formulated as

$\displaystyle \hat{s}_w(t)= \frac{1}{\sum_{i=1}^{N}w_{i}(t)}\sum_{i=1}^{N}w_{i}(t)\cdot s_i(t)$ (2)

where $w_{i}(t)$ is the weight applied to trace $i$ and time $t$ in a CMP gather. $\hat{s}_w(t)$ is the stacked trace after weighting.

Different methods have been proposed to apply weights according to different criteria. For example, the smart stacking proposed by Rashed (2008) is based on sign difference between sample point and the alpha-trimmed mean to remove frequency distortions. Neelamani et al. (2006) uses an iterative algorithm called leave me out (LMO) to estimate noise variances from data. The desired signal is assumed to be flat with constant amplitude across all the traces within a gather in the LMO method.




2020-07-18