The similarity-weighted stacking method was proposed by Liu et al. (2009) to weight each trace according to the time-variant local similarity between each trace and the mean trace.
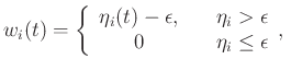
To implement the similarity-weighted stacking, we first apply the equal-weight stack to the NMO-corrected CMP gather to obtain the reference trace. Then we compute the local similarity (Chen et al., 2015) between the reference trace and the NMO-corrected CMP gather and apply soft thresholding (Donoho, 1995) to all local similarity values. Finally, we apply the weighted stack to the CMP gather using local similarity based weights to get the final stacked trace. The local similarity based weighting criteria is defined as:
where
is the threshold value,
is the local similarity between
th prestack trace and the reference trace:
 |
(4) |
where
denotes the local similarity between traces
and
.
is the arithmetic mean as introduced in (1).
can be intelligently chosen by defining a percentage. The percentage is used to preserve or reject the values during thresholding. For example, a percentage of 10 means that we preserve 10% largest value of the local similarity
. The result is not very sensitive to
. We usually keep a 50% of largest
values to obtain the stacking result.
2020-07-18