next up previous [pdf]

Next: Appendix B: Double path-summation Up: Acknowledgements Previous: Acknowledgements

Appendix A: pre-stack path-summation migration

Keydar et al. (2009) describe pre-stack data imaging using path-integral formulation where the curvature of the diffraction hyperbola acts as a parameter describing different images being stacked. In this appendix, we derive a direct and analytical formula for unweighted pre-stack path-summation imaging based on the extension of velocity continuation technique to the pre-stack domain. Fomel (2003b,a) describes velocity continuation phase-shift for a pre-stack case:

$\displaystyle \tilde{P}(\Omega,k,v) = \sum_{h}\tilde{P_0}(\Omega,k,h,v_0) e^{ i...
...v_0^2 - v^2)}{16\Omega}\ +\ 4i\Omega h^2 ( \frac{1}{v^2} - \frac{1}{v_0^2} ) },$ (9)

where $ h$ is a constant half-offset value, and $ v_0$ is a velocity for the first migration run applied before cascade of VC transformations. Integral describing pre-stack path-summation migration will take the following form:

\begin{multline}
I(\Omega,k,v_a,v_b) = \int_{v_a}^{v_b} \sum_{h}\tilde{P_0}(\Ome...
...v\\
= \sum_{h}\tilde{P_0}(\Omega,k,h,v_a) F(\Omega,k,h,v_a,v_b).
\end{multline}

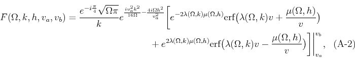
$ F(\Omega,k,h,v_a,v_b)$ is a pre-stack path-summation migration filter, which can be evaluated analytically as:

\begin{multline}
F(\Omega,k,h,v_a,v_b) = \frac{e^{-i\frac{\pi}{4}}\sqrt{\Omega \...
...)v - \frac{\mu(\Omega,h)}{v}\big) \bigg] \bigg\vert _{v_a}^{v_b},
\end{multline}

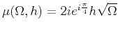
where $ \lambda(\Omega,k) = e^{i\frac{\pi}{4}} \frac{k}{4\sqrt{\Omega}}$ and $ \mu(\Omega,h) = 2ie^{i\frac{\pi}{4}} h\sqrt{\Omega}$ .


next up previous [pdf]

Next: Appendix B: Double path-summation Up: Acknowledgements Previous: Acknowledgements

2017-04-20