next up previous [pdf]

Next: Bibliography Up: Merzlikin & Fomel: Analytical Previous: Appendix A: pre-stack path-summation

Appendix B: Double path-summation migration

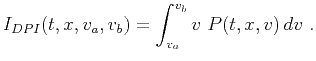
Double path-integral formulation was proposed by Schleicher and Costa (2009), Santos et al. (2016). In unweighted path-summation migration framework it can be described by the following equation:

$\displaystyle I_{DPI}(t,x,v_a,v_b) = \int^{v_b}_{v_a} v\ P(t,x,v)\,dv\ .$ (10)

Velocity distribution can be acquired through a smooth division of the double path-summation integral by the path-summation integral:

$\displaystyle v(t,x) = I_{DPI}(t,x,v_a,v_b)/I_{PI}(t,x,v_a,v_b)\ .$ (11)

We propose to evaluate the double path-summation integral analytically as well:

$\displaystyle I_{DPI}(\Omega,k,v_a,v_b)$ $\displaystyle = \int^{v_b}_{v_a} v\ \hat{P}_0(k,\Omega)\ e^{-\frac{i k^2 v^2}{16\Omega}}dv\ $    
  $\displaystyle = \hat{P}_0(\Omega,k)\ \int^{v_b}_{v_a} v\ e^{-\frac{i k^2 v^2}{16\Omega}}dv$    
  $\displaystyle = \hat{P}_0(\Omega,k) \cdot F_{DPI}(\Omega,k,v_a,v_b),$ (12)

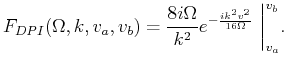
where the filter $ F_{DPI}(\Omega,k,v_a,v_b)$ has the following analytical expression:

$\displaystyle F_{DPI}(\Omega,k,v_a,v_b) = \frac {8 i \Omega}{k^2} e^{-\frac{ik^2v^2}{16\Omega}}\ \bigg\vert _{v_a}^{v_b}.$ (13)

To extract migration velocity as described by the equation (A-5) we need to evaluate both double path-summation integral and path-summation integral. These evaluations can be done analytically as described by equations 5 and A-6. A smooth division procedure (Fomel, 2007) is applied in equation A-5 to acquire a regularized time migration velocity estimate, which then can be applied to image the subsurface using any available time imaging algorithm.


next up previous [pdf]

Next: Bibliography Up: Merzlikin & Fomel: Analytical Previous: Appendix A: pre-stack path-summation

2017-04-20