next up previous [pdf]

Next: Numerical Method Up: Cai et al.: Spectral Previous: Introduction

Theory

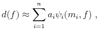
We represent a seismic spectrum as the sum of different Ricker components (Tomasso et al., 2010):

$\displaystyle d(f) \approx \mathop{\sum_{i=1}^{n}}a_i\psi_i(m_i,f)\;,$ (1)

where $ d(f)$ is the spectrum of a seismic trace, and $ a_i$ and $ m_i$ are the amplitude and peak frequency of the $ i$ -th Ricker spectrum component, given as

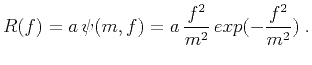
$\displaystyle R(f)=a \psi(m,f)=a \frac{f^2}{m^2} {exp}{(-\frac{f^2}{m^2})}\;.$ (2)

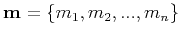
Thus, the model is a linear combination of Ricker wavelet spectra, which has nonlinear functions and depends on multiple parameters. To estimate the Ricker wavelet spectra, we need both $ \mathbf{a}=\{a_1,a_2,...,a_n\}$ and $ \mathbf{m}=\{ m_1,m_2,...,m_n\}$ coefficients. The estimation error is

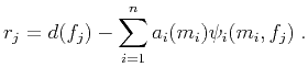
$\displaystyle r_j=d(f_j)-\mathop{\sum_{i=1}^{n}}a_i(m_i)\psi_i(m_i,f_j)\;.$ (3)

The optimal least-squares estimation requires

$\displaystyle \mathop{\mbox{min}}_{\mathbf{a,m}}\left\Vert\mathbf{r}(\mathbf{a},\mathbf{m})\right\Vert _2^2\;.$ (4)

The goal of separable nonlinear least-squares estimation (Björck, 1996) is to find a global minimizer of the sum of squares of nonlinear functions. The separability aspect comes from solving linear and nonlinear parts separately (Scolnik, 1972). The algorithm we use in this paper is known as the variable projection algorithm (Golub and Pereyra, 1973). It provides solutions for $ \mathbf{a}$ and $ \mathbf{m}$ by exploring the fact that $ \mathbf{r}$ depends on $ \mathbf{a}$ linearly.


next up previous [pdf]

Next: Numerical Method Up: Cai et al.: Spectral Previous: Introduction

2013-08-19