next up previous [pdf]

Next: Stratigraphic interpretation Up: Application Previous: Synthetic and field data

Frequency attenuation estimation

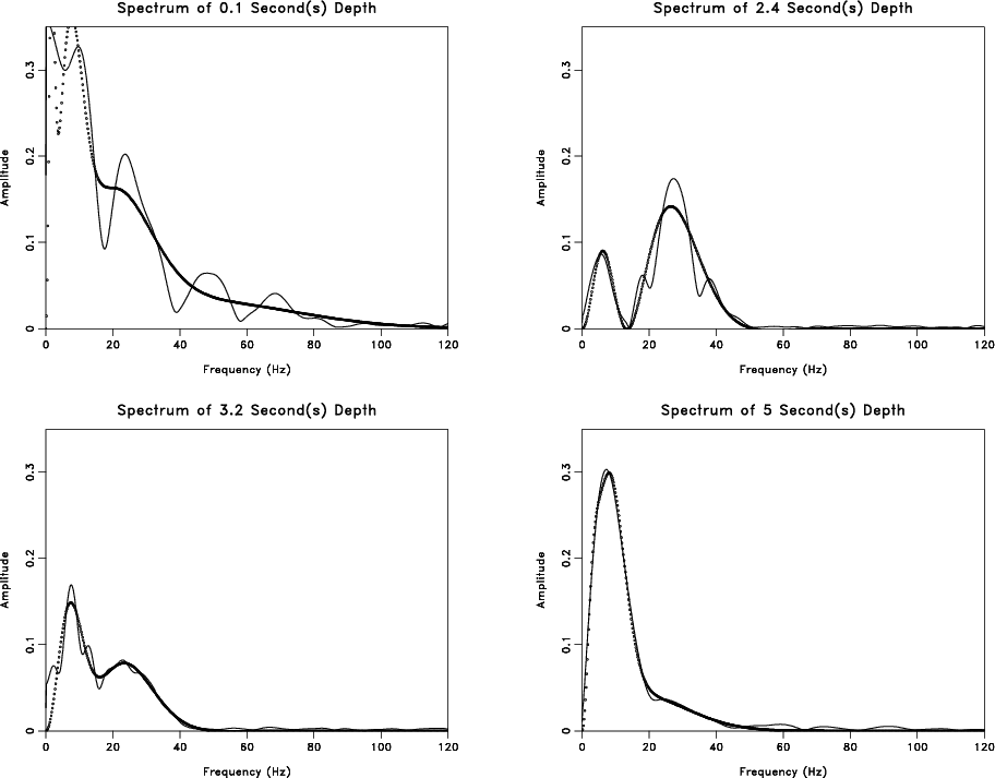
Spectral recomposition can be used to indicate how various frequency components attenuate in the subsurface. Different from spectral decomposition, spectral recomposition extracts significant components from seismic data by modeling the spectrum, i.e. fitting spectrum data with summation of Ricker components. With the help of local time-frequency analysis (Liu et al., 2011), we re-composed the spectra of a seismic trace at each time depth. Figure 3 shows recomposition examples at four different time depths. Figure 4 compares our spectral recomposition result with the result of time-frequency analysis. At approximately 1 second, one of the components has a peak frequency as high as 65 Hz. It attenuates gradually to about 8 Hz in 4 seconds. Spectral decomposition indicates information of whole frequency spectrum at each time depth, but provides us no extracted key components. It can be easily found that the spectral recomposition result is consistent with time-frequency analysis result. Thus, spectral recomposition provides information related to any specific layer in which the user might be interested and builds a deeper understanding of seismic attenuation in the subsurface.

tf2
tf2
Figure 3.
Four time depths, 0, 2, 3 and 5 second have been plotted in (a), (b), (c) and (d) to show spectral recomposition reconstructs Ricker component at different depths. Field data results have been plotted in solid black lines. The spectral recomposition results have been plotted in dotted red lines.
[pdf] [png] [scons]

tf
tf
Figure 4.
(a) One single seismic trace; (b) Time-frequency analysis result of the trace in (a); (c) Automated spectral recomposition reconstructs Ricker components at each time depth. The reconstructed result is quite consistent with time-frequency analysis in (b).
[pdf] [png] [scons]


next up previous [pdf]

Next: Stratigraphic interpretation Up: Application Previous: Synthetic and field data

2013-08-19