next up previous [pdf]

Next: Appendix B: The Fréchet Up: Li & Fomel: Time-to-depth Previous: Acknowledgments

Appendix A: Ill-posedness of the time-to-depth conversion problem

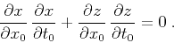
Let us consider the problem of solving for $z (t_0,x_0)$ and $x (t_0,x_0)$ instead of $t_0 (z,x)$ and $x_0 (z,x)$ by recasting equations 5, 6 and 7 in the time coordinates:

\begin{displaymath}
\left(\frac{\partial x}{\partial x_0}\right)^2 +
\left(\fra...
...2
= \frac{v^2 (z (t_0,x_0), x (t_0,x_0))}{v_d^2 (t_0,x_0)}\;,
\end{displaymath} (23)


\begin{displaymath}
\left(\frac{\partial x}{\partial t_0}\right)^2 +
\left(\fra...
...}{\partial t_0}\right)^2
= v^2 (z (t_0,x_0), x (t_0,x_0))\;,
\end{displaymath} (24)


\begin{displaymath}
\frac{\partial x}{\partial x_0} \frac{\partial x}{\partial ...
...tial z}{\partial x_0} \frac{\partial z}{\partial t_0}
= 0\;.
\end{displaymath} (25)

The corresponding boundary conditions are
\begin{displaymath}
\left\{ \begin{array}{lcl}
z (0, x_0) & = & 0\;, \\
x (0, x_0) & = & x_0\;.
\end{array} \right.
\end{displaymath} (26)

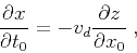
From equation A-3

\begin{displaymath}
\frac{\partial x}{\partial t_0} = - \frac{\partial z}{\parti...
...rtial t_0} 
\left/ \frac{\partial x}{\partial x_0} \right.\;.
\end{displaymath} (27)

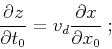
Substituting equation A-5 into equation A-2 and combining with equation A-1 produces
\begin{displaymath}
\frac{\partial z}{\partial t_0} = v_d \frac{\partial x}{\partial x_0}\;;
\end{displaymath} (28)


\begin{displaymath}
\frac{\partial x}{\partial t_0} = - v_d \frac{\partial z}{\partial x_0}\;,
\end{displaymath} (29)

where we assume that both $\partial z/\partial t_0$ and $\partial x/\partial x_0$ remain positive and there is no caustics.

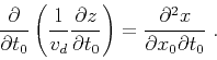
On the first glance, equations A-6 and A-7 seem suitable for numerically extrapolating $x (t_0,x_0)$ and $z (t_0,x_0)$ in $t_0$ direction using the boundary conditions A-4. After such an extrapolation, one would be able to reconstruct $v (t_0,x_0)$ from equation A-2 and thus solve the original problem. However, by further decoupling the system using the equivalence of the second-order mixed derivatives, we discover that the underlying PDEs are elliptic. For instance, applying $\partial / \partial x_0$ to both sides of equation A-7 results in

\begin{displaymath}
\frac{\partial^2 x}{\partial t_0 \partial x_0} =
- \frac{\pa...
...rtial x_0} \left(v_d \frac{\partial z}{\partial x_0}\right)\;.
\end{displaymath} (30)

Meanwhile, dividing by $v_d$ and applying $\partial / \partial t_0$ to both sides of equation A-6 leads to
\begin{displaymath}
\frac{\partial}{\partial t_0} \left(\frac{1}{v_d} \frac{\par...
..._0}\right) =
\frac{\partial^2 x}{\partial x_0 \partial t_0}\;.
\end{displaymath} (31)

Comparing equations A-8 and A-9, we find
\begin{displaymath}
\frac{\partial}{\partial x_0} 
\left(v_d \frac{\partial z}{...
...ft(\frac{1}{v_d} \frac{\partial z}{\partial t_0}\right) = 0\;.
\end{displaymath} (32)

Analogously,
\begin{displaymath}
\frac{\partial}{\partial x_0} 
\left(v_d \frac{\partial x}{...
...ft(\frac{1}{v_d} \frac{\partial x}{\partial t_0}\right) = 0\;.
\end{displaymath} (33)

Solving elliptic equations A-10 and A-11 with the Cauchy-type boundary conditions A-4 is an ill-posed problem (Evans, 2010). A different formulation, leading to a non-linear elliptic PDE, was previously discussed by Cameron et al. (2009).


next up previous [pdf]

Next: Appendix B: The Fréchet Up: Li & Fomel: Time-to-depth Previous: Acknowledgments

2015-03-25