next up previous [pdf]

Next: Constant horizontal slowness-squared gradient Up: Examples Previous: Examples

Constant velocity gradient model

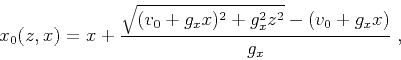
In a medium with a constant velocity gradient

\begin{displaymath}
v (z,x) = v_0 + g_z z + g_x x\;,
\end{displaymath} (15)

image rays are segments of circles parallel to each other, and all attributes involved in time-to-depth conversion have analytical solutions. In Appendix C, we derive the following relationships:
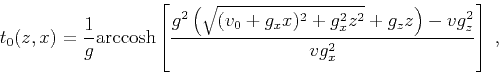
\begin{displaymath}
x_0 (z,x) = x + \frac{\sqrt{(v_0+g_x x)^2 + g_x^2 z^2} - (v_0 + g_x x)}{g_x}\;,
\end{displaymath} (16)


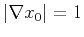
\begin{displaymath}
t_0 (z,x) = \frac{1}{g} \mathrm{arccosh} \left[ \frac{g^2 \l...
...^2 + g_x^2 z^2}
+ g_z z \right) - v g_z^2}{v g_x^2} \right]\;,
\end{displaymath} (17)

where $g = \sqrt{g_z^2 + g_x^2}$. The migration velocity $v_m$ and Dix velocity $v_d$ take the following expressions:
\begin{displaymath}
v_m (t_0,x_0) = \frac{(v_0 + g_x x_0)^2}{t_0 \left( g \coth (g t_0) - g_z \right)}\;,
\end{displaymath} (18)


\begin{displaymath}
v_d (t_0,x_0) = \frac{(v_0 + g_x x_0) g}{g \cosh (g t_0) - g_z \sinh (g t_0)}\;.
\end{displaymath} (19)

It is easy to verify from equations 16 and 17 that $\vert\nabla x_0\vert = 1$, $\vert\nabla t_0\vert = 1/v$ and $\nabla x_0 \cdot \nabla t_0 = 0$. Because there is no geometrical spreading of image rays in this case, the Dix velocity will be equal to the interval velocity according to equation 3. However, a Dix-inverted model will still be distorted if $g_x \not= 0$ because of the lateral shift of image rays.

Figures 3 and 4 show a velocity model with $v (z,x) = 1.5 + 0.75 z + 0.5 x$ km/s and the corresponding analytical $v_d (t_0,x_0)$, $x_0 (z,x)$ and $t_0 (z,x)$. Clearly, the right domain boundary is of in-flow type that violates our assumption. To address this challenge, we include Dix velocity in regions beyond the original left and right boundaries during inversion, but mask out the cost in these regions. It means that the time-to-depth conversion is performed in a sub-domain of time-domain attributes, such that information on the in-flow boundary is available. Afterwards, we apply Dix inversion to the expanded model and use the result as the prior model. We use the exact Dix velocity in equation 19 for evaluating the right-hand side of 5. Then, in total three linearization updates are carried out, which decreases $E$ to relative $0.6\%$. The radiuses of triangular smoother in shaping are $8$ m vertically and $30$ m horizontally ($8$ m $\times$ $30$ m). At last, we cut the computational domain back to its original size. Figures 5 and 6 compare the cost and model misfit before and after inversion.

We also synthesize data with Kirchhoff modeling (Haddon and Buchen, 1981) for several horizontal reflectors using the exact model, and examine the subsurface scattering-angle common-image-gathers from Kirchhoff prestack depth migration (Xu et al., 2001) as an evidence of interval velocity improvements. In Figure 7, the shallower events do not improve significantly because the image rays have not yet bent considerably. Deeper events become noticeably flatter after applying the proposed method.

vgrad
vgrad
Figure 3.
(Top) a constant velocity gradient model and (bottom) the analytical Dix velocity $v_d$. A curved image ray is mapped to the time domain as a straight line.
[pdf] [png] [scons]

analy
analy
Figure 4.
Analytical values of (top) $t_0$ and (bottom) $x_0$ of the model in Figure 3. Both figures are overlaid with contour lines that, according to equation 7, are perpendicular to each other. Each contour line of $x_0$ is an image ray, while the contours of $t_0$ illustrate the propagation of a plane-wave.
[pdf] [png] [scons]

cost
cost
Figure 5.
The cost defined by equation 9 (top) before and (bottom) after inversion. The least-squares norm of cost $E$ is decreased from $9.855$ to $0.057$.
[pdf] [png] [scons]

error
error
Figure 6.
The difference between exact model and (top) initial model and (bottom) inverted model. The least-squares norm of model misfit is decreased from $15.6\mbox{ km}^2/\mbox{s}^2$ to $2.7\mbox{ km}^2/\mbox{s}^2$.
[pdf] [png] [scons]

cigv
cigv
Figure 7.
Comparison of the subsurface scattering-angle common-image-gathers at $x = 1.5$ km of (left) exact model, (middle) prior model and (right) inverted model.
[pdf] [png] [scons]


next up previous [pdf]

Next: Constant horizontal slowness-squared gradient Up: Examples Previous: Examples

2015-03-25