next up previous [pdf]

Next: Extrapolating the decoupled elastic Up: Propagating decoupled elastic wavefields Previous: Propagating decoupled elastic wavefields

Vector decomposition of the elastic wave modes

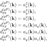
According to Zhang and McMechan (2010), one can decompose qP and qS modes in the elastic wavefields for a homogeneous anisotropic medium using:

$\displaystyle u_i^{(m)}(\mathbf{k})=d_{ij}^{(m)}(\mathbf{k})\tilde{u}_j(\mathbf{k}),$ (15)

where $ m=\{qP, qS\}$ , $ i, j=\{x, y, z\}$ , and the decomposition operators satisfy:

\begin{displaymath}\begin{array}{lcl}
 
 d_{xx}^{(qP)}(\mathbf{k}) = a_{x}^2(\ma...
...(\mathbf{k}) = a_{y}(\mathbf{k})a_{z}(\mathbf{k}),
 \end{array}\end{displaymath} (16)

and

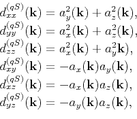
\begin{displaymath}\begin{array}{lcl}
 
 d_{xx}^{(qS)}(\mathbf{k}) = a_{y}^2(\ma...
...\mathbf{k}) = -a_{y}(\mathbf{k})a_{z}(\mathbf{k}),
 \end{array}\end{displaymath} (17)

in which $ a_{x}(\mathbf{k})$ , $ a_{y}(\mathbf{k})$ and $ a_{z}(\mathbf{k})$ represent the $ x$ -, $ y$ - and $ z$ -components of the normalized polarization vector of qP-wave.

As demonstrated by Cheng and Fomel (2014), one can decompose the wave modes in a heterogeneous anisotropic medium using the following mixed-domain integral operations:

\begin{displaymath}\begin{array}{lcl}
 
 u_{x}^{(m)}(\mathbf{x})
 &=&\int{e^{i\m...
... \tilde{u}_{z}(\mathbf{k})}\,\mathrm{d}\mathbf{k}.
 \end{array}\end{displaymath} (18)


next up previous [pdf]

Next: Extrapolating the decoupled elastic Up: Propagating decoupled elastic wavefields Previous: Propagating decoupled elastic wavefields

2016-11-21