next up previous [pdf]

Next: Fast algorithm using low-rank Up: Propagating decoupled elastic wavefields Previous: Vector decomposition of the

Extrapolating the decoupled elastic waves

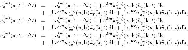
For heterogeneous anisotropic media, the wavefield propagator (equation 6) and the vector decomposition operators (equation 18) are both in the general form of FIOs. Naturally, we merge them to derive a new mixed-domain integral solution for extrapolating the decoupled elastic wavefields:

\begin{displaymath}\begin{array}{lcl}
 
 u_{x}^{(m)}(\mathbf{x},t+\Delta{t})&=&-...
...)\tilde{u}_z(\mathbf{k},t)}\,\mathrm{d}\mathbf{k},
 \end{array}\end{displaymath} (19)

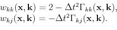
with the propagation matrices for the decoupled wave modes given as

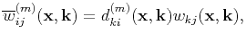
$\displaystyle \overline{w}_{ij}^{(m)}(\mathbf{x},\mathbf{k}) =
 d_{ki}^{(m)}(\mathbf{x},\mathbf{k})w_{kj}{(\mathbf{x},\mathbf{k})},$ (20)

in which $ w_{kj}(\mathbf{x},\mathbf{k})$ is defined by the spatially varying Christoffel matrix and the length of time-step, namely

\begin{displaymath}\begin{array}{lcl} 
 
 w_{kk}(\mathbf{x},\mathbf{k})=2-\Delta...
...elta{t}^2\Gamma_{kj}{(\mathbf{x},\mathbf{k})}. \\ 
 \end{array}\end{displaymath} (21)

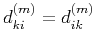
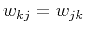
The extended formulation of equation 20 is given in Appendix B. Note the symmetry properties exist: $ d_{ki}^{(m)}=d_{ik}^{(m)}$ and $ w_{kj}=w_{jk}$ , and the modified Christoffel matrix will be used if the $ k$ -space adjustment is applied for the pseudo-spectral solutions.

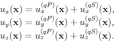
To drive the time extrapolation of the decomposed wavefields using equation 19, we must update the total elastic wavefields by superposing qP- and qS-waves at each time-step using

\begin{displaymath}\begin{array}{lcl}
 
 u_{x}(\mathbf{x}) =
 u_{x}^{(qP)}(\math...
...z}^{(qP)}(\mathbf{x})+u_{z}^{(qS)}(\mathbf{x}).\\ 
 \end{array}\end{displaymath} (22)

Thus equations 19 to 22 compose the spectral-like operators to simultaneously extrapolate and decouple the elastic wavefields for 3D anisotropic media. The computation complexity of the straightforward implementation of the integral operators in equations 8 and 19 is $ O(N^2_x)$ , which is prohibitively expensive when the size of model $ N_x$ is large.

To tackle strong heterogeneity due to fast varying stiffness coefficients, we suggest to split the displacement equation into the displacement-stress equation and then solve it using the staggered-grid pseudo-spectral scheme (Bale, 2003; Ozdenvar and McMechan, 1996; Carcione, 1999). Note when using staggered grids, the operators to extrapolate the decoupled wave modes must be modified in order to account for the shifts in medium properties and fields variables. We will investigate this issue in the future work.


next up previous [pdf]

Next: Fast algorithm using low-rank Up: Propagating decoupled elastic wavefields Previous: Vector decomposition of the

2016-11-21