next up previous [pdf]

Next: 2. Reverse-time migration of Up: 1. Simulating propagation of Previous: 1.3 BP 2007 TTI

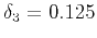
1.4 Homogeneous 3D ORT model

Figure 9 shows an example of simulating propagation of separated qP-wave fields in a 3D homogeneous vertical ORT model, in which $ v_{p0}=3000m/s$ , $ v_{s0}=1500m/s$ , $ \delta_{1}=-0.1$ , $ \delta_{2}=-0.0422$ , $ \delta_{3}=0.125$ , $ \epsilon_{1}=0.2$ , $ \epsilon_{2}=0.067$ , $ \gamma_{1}=0.1$ , and $ \gamma_{2}=0.047$ . The first three pictures display wavefield snapshots at 0.5s synthesized by using pseudo-pure-mode qP-wave equation, according to equation B-3. As shown in Figure 9d, qP-waves again appear to dominate the wavefields in energy when we sum the three wavefield components of the pseudo-pure-mode qP-wave fields. As for TI media, we obtain completely separated qP-wave fields from the pseudo-pure-mode wavefields once the correction of projection deviation is finished (Figure 9e). By the way, in all above examples, we find that the filtering to remove qSV-waves does not require the numerical dispersion of the qS-waves to be limited. So there is no additional requirement of the grid size for qS-wave propagation. The effects of grid dispersion for the separation of low velocity qS-waves will be further investigated in the second article of this series.

PseudoPurePx PseudoPurePy PseudoPurePz PseudoPureP PseudoPureSepP
PseudoPurePx,PseudoPurePy,PseudoPurePz,PseudoPureP,PseudoPureSepP
Figure 9.
Synthesized wavefield snapshots in a 3D homogeneous vertical ORT medium: (a) x-, (b) y- and (c) z-component of the pseudo-pure-mode qP-wave fields, (d) pseudo-pure-mode scalar qP-wave fields, (e) separated scalar qP-wave fields.
[pdf] [pdf] [pdf] [pdf] [pdf] [png] [png] [png] [png] [png] [scons]


next up previous [pdf]

Next: 2. Reverse-time migration of Up: 1. Simulating propagation of Previous: 1.3 BP 2007 TTI

2014-06-24