next up previous [pdf]

Next: Numerical approach Up: Weiss & Shragge: GPU-based Previous: Introduction

Theory

The equations governing elastic wave propagation in 3D transversely isotropic media, when assuming linearized elasticity theory and a stress-stiffness tensor formulation, are fairly straightforward to implement in a numerical scheme. Our goal is to develop finite-difference (FD) operators of 2$ ^{nd}$ - and 8$ ^{th}$ -order temporal and spatial accuracy, respectively, that are well-suited for GPU hardware by virtue of being a compact stencil with a regular memory access pattern.

The linear theory of elasticity [e.g., Landau and Lifshitz (1986)] establishes a relationship between a vector seismic wavefield displaced infinitesimally from rest and the dimensionless linear strain tensor. In indicial notation we write

$\displaystyle \epsilon_{kl} = \frac{1}{2}\left[ \partial_k u_l + \partial_l u_k \right], \quad \quad k,l=1,2,3,$ (1)

where $ \epsilon_{kl}$ is an element of the linear strain tensor, $ \partial_k$ is the spatial derivative in the $ k^{th}$ direction, and $ u_l$ is the $ l^{th}$ component of wavefield displacement. Herein, we assume Cartesian geometry where the $ x$ -, $ y$ - and $ z$ -axes are represented by indices $ i=1,2,3$ , respectively, and use summation notation for repeated indices.

The linear strain tensor, $ \epsilon_{kl}$ , is related to the Cauchy stress tensor, $ \sigma_{ij}$ , through a constitutive relationship that describes the elastic material properties through a fourth-order stiffness tensor $ c_{ijkl}$ :

$\displaystyle \sigma_{ij}=c_{ijkl}\epsilon_{kl}.$ (2)

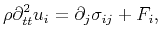
The above equations can be combined into the equations of motion, derivable from Newton's second law, that describe wave propagation through an anisotropic elastic medium:

$\displaystyle \rho \partial^2_{tt}u_i = \partial_j \sigma_{ij} + F_i,$ (3)

where $ F_i$ is the body force per unit volume (that can be implemented as an equivalent stress source), $ \rho$ is material density, and $ \partial^2_{tt}$ is the second-order temporal derivative.



Subsections
next up previous [pdf]

Next: Numerical approach Up: Weiss & Shragge: GPU-based Previous: Introduction

2013-12-07