next up previous [pdf]

Next: Examples Up: Operator properties Previous: Operator size and compactness

Operator truncation

The derivative operators for isotropic and anisotropic media are very different in both shape and size , and the operators vary with the strength of anisotropy. In theory, analytic isotropic derivatives are point operators in the continuous limit. If one can do perfect Fourier transform to $ ik_x$ and $ ik_z$ (without doing the approximations to different orders of accuracy as one does in Figure 2), one gets point derivative operators. This is because $ ik_x$ is constant in the $ z$ direction (see Figure 6(a)), whose Fourier transform is delta function; the exact expression of $ ik_x$ in the $ k$ domain also makes the operator point in the $ x$ direction. This makes the isotropic derivative operators point operators in the $ x$ and $ z$ direction. And when one applies approximations to the operators, they are compact in the space domain.

However, even if one does perfect Fourier transformation to $ iU_x$ and $ iU_z$ (without doing the approximations for different orders of accuracy) for VTI media, the operators will not be point operators because $ iU_x$ and $ iU_z$ are not constants in $ z$ and $ x$ directions, respectively (see Figure 6(b)). The $ x$ domain operators spread out in all directions (Figures 3(b), fig:mop4, fig:mop6, and fig:mop8).

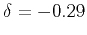
IsoU AniU
IsoU,AniU
Figure 6.
(a) Isotropic and (b) VTI ( $ \epsilon=0.25$ , $ \delta=-0.29$ ) polarization vectors (Figure [*]) projected on to the $ x$ (left column) and $ z$ directions (right column). The isotropic polarization vectors components in the $ z$ and $ x$ directions depend only on $ k_z$ and $ k_x$ , respectively. In contrast, the anisotropic polarization vectors components are functions of both $ k_x$ and $ k_z$ .
[pdf] [pdf] [png] [png] [matlab] [matlab]

This effect is illustrated by Figure 3. When the order of accuracy decreases, the isotropic operators become more compact (shorter in space), while the anisotropic operators do not get more compact. No matter how one improves the compactness of isotropic operators, one does not get compact anisotropic operators in the space domain by the same means.

Because the size of the anisotropic derivative operators is usually large, it is natural that one would truncate the operators to save computation. Figure 7 shows a snapshot of an elastic wavefield and corresponding derivative operators for a VTI medium with $ \epsilon=0.25$ and $ \delta=-0.29$ . Figure 8 shows the attempt of separation using truncated operator size of (a) $ 11\times11$ , (b) $ 31\times31$ and (c) $ 51\times51$ out of the full operator size $ 65\times65$ . Figure 8 shows that the truncation causes the wave-modes incompletely separated. This is because the truncation changes the directions of the polarization vectors, thus projecting the wavefield displacements onto wrong directions. Figure 9 presents the P-wave polarization vectors before and after the truncation. For a truncated operator size of $ 11\times11$ , the polarization vectors deviate from the correct ones to a maximum of 10$ ^\circ$ , but even this difference makes the separation incomplete.

uA mop5
uA,mop5
Figure 7.
(a) A snapshot of an elastic wavefield showing the vertical (left) and horizontal (right) components for a VTI medium ( $ \epsilon=0.25$ and $ \delta=-0.29$ ). (b) $ 8^{th}$ order anisotropic pseudo derivative operators in $ z$ (left) and $ x$ (right) direction for this VTI medium. The boxes show the truncation of the operator to sizes of $ 11\times11$ , $ 31\times31$ , and $ 51\times51$ .
[pdf] [pdf] [png] [png] [scons]

pA1 pA3 pA5
pA1,pA3,pA5
Figure 8.
separation by $ 8^{th}$ order anisotropic pseudo derivative operators of different sizes: (a) $ 11\times11$ , (b) $ 31\times31$ , (c) $ 51\times51$ , shown in Figure 7(b). The plot shows the larger the size of the operators, the better the separation is.
[pdf] [pdf] [pdf] [png] [png] [png] [scons]

truncate1 truncate2 truncate3
truncate1,truncate2,truncate3
Figure 9.
The deviation of polarization vectors by truncating the size of the space-domain operator to (a) $ 11\times11$ , (b) $ 31\times31$ , (c) $ 51\times51$ out of $ 65\times65$ . The left column shows polarization vectors from $ {-1}$ to $ {+1}$ cycles in both $ x$ and $ z$ directions, and the right column zooms to $ 0.3$ to $ 0.7$ cycles. The green vectors are the exact polarization vectors, and the red ones are the effective polarization vectors after truncation of the operator in the $ x$ domain.
[pdf] [pdf] [pdf] [png] [png] [png] [matlab] [matlab] [matlab]


next up previous [pdf]

Next: Examples Up: Operator properties Previous: Operator size and compactness

2013-08-29