next up previous [pdf]

Next: Flattening by predictive painting Up: Estimation of interval parameters Previous: Stripping equations

Fowler's equations

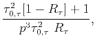
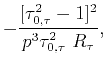
The second alternative to get VTI interval parameters comes from the integral formulation of the $ \tau $ -$ p$  moveout signature in equation 7. The derivation is detailed in Appendix C. We first compute $ \tau_{0,\tau}=\partial\tau_{0}/\partial\tau$ and then, applying the chain rule, $ R_{\tau}$ . Solving for $ \hat{V}_{N}$ and $ \hat{V}_{H}$ , we arrive at the following relations:

$\displaystyle \hat{V}_{N}^{2}(\tau, p)$ $\displaystyle =$ $\displaystyle -\frac{[ \tau_{0,\tau}^{2}-1]^{2}}{%
p^{3}\tau_{0,\tau}^{2} R_{\tau} },$ (27)
$\displaystyle \hat{V}_{H}^{2}(\tau, p)$ $\displaystyle =$ $\displaystyle \frac{\tau_{0,\tau}^{2}[1-R_{\tau}]+1}{p^{3}\tau_{0,\tau}^{2} R_{\tau} },$ (28)

which are equivalent to those proposed previously by Fowler et al. (2008). According to equations 27 and 28, the gradients of offset $ x$ and the zero-slope time $ \tau _0$ measured at common slope locations $ p$ on two consecutive seismic event return the VTI interval parameters for the layer bounded by these two events (Figure 1a). Fowler et al. (2008) first pick traveltime curves in $ t$ -$ X$  domain, and then differentiate those curves in offset to compute slopes $ p$ . Finally, for any given $ p$ value on each seismic event, they determine the corresponding $ \Delta x$ and $ \Delta \tau_0$ values (Figure 1a). The main practical limitation in this inversion scheme is the difficulty of picking seismic events accurately.

The processing becomes easier if it is accomplished in $ \tau $ -$ p$  with automatic slope estimation. First, $ \tau $ -$ p$   transform unveils the position of equal slope events. Second, $ \tau_{0,\tau}$ and $ R_{\tau}$ are measured automatically (without event picking) on the $ \tau $ -$ p$  transformed CMP gather. The quantity $ \tau_{0,\tau}$ can be estimated as the $ \tau $ finite difference of $ \tau _{0}$ values computed according to velocity-independent moveout equation 15. The zero-slope time $ \tau _0$ function is still needed to map the interval parameter estimated using equations 27 and 28 to the correct vertical time (Table 1).


next up previous [pdf]

Next: Flattening by predictive painting Up: Estimation of interval parameters Previous: Stripping equations

2011-06-25