next up previous [pdf]

Next: APPENDIX B: DERIVING THE Up: Fomel & Biondi: t-x Previous: Bibliography

APPENDIX A: AMO AMPLITUDE

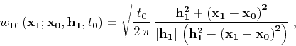
The weighting function of the AMO operator can be determined from cascading the DMO and inverse DMO operators by means of equation (10). In the case of Hale's DMO (Hale, 1984) and its adjoint (Ronen, 1987),
\begin{displaymath}
w_{10}\left({\bf x_1;x_0, h_1},t_0\right) =
\sqrt{t_0 \over...
...vert h_1\right\vert} \over {h_2^2-\left(x_1-x_0\right)^2}}}\;,
\end{displaymath} (22)


\begin{displaymath}
w_{02}\left({\bf x_0;x_2, h_2},t_2\right) =
\sqrt{t_2 \over...
...vert h_2\right\vert} \over {h_2^2-\left(x_0-x_2\right)^2}}}\;.
\end{displaymath} (23)

As follows from (A-1),(A-2), and (10),
$\displaystyle w_{12}\left({\bf x_1;x_2, h_2},t_2\right) = {t_2 \over {2 \pi}} 
\times$      
$\displaystyle {{{\bf\left\vert h_1\right\vert \left\vert h_2\right\vert} \sin...
...\right) 
\left({\bf h_2^2} \sin{\varphi}^2-\left(y_2-y_1\right)^2\right)}}\;.$     (24)

In the case of the so-called true-amplitude DMO (Black et al., 1993) and its asymptotic inverse,
\begin{displaymath}
w_{10}\left({\bf x_1;x_0, h_1},t_0\right) =
\sqrt{t_0 \over...
... h_1\right\vert \left(h_1^2-\left(x_1-x_0\right)^2\right)}\;,
\end{displaymath} (25)


\begin{displaymath}
w_{02}\left({\bf x_0;x_2, h_2},t_2\right) =
\sqrt{t_2 \over...
...vert h_2\right\vert} \over {h_2^2-\left(x_0-x_2\right)^2}}}\;.
\end{displaymath} (26)

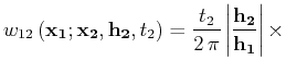
Inserting (A-4) and (A-5) into (10) yields
$\displaystyle w_{12}\left({\bf x_1;x_2, h_2},t_2\right) = {t_2 \over {2 \pi}} 
{\left\vert{\bf h_2 \over h_1}\right\vert} \times$      
$\displaystyle {{{\bf h_1^2} \sin{\varphi}^2+
\left(\left(x_2-x_1\right) \sin{...
...\right) 
\left({\bf h_2^2} \sin{\varphi}^2-\left(y_2-y_1\right)^2\right)}}\;.$     (27)


next up previous [pdf]

Next: APPENDIX B: DERIVING THE Up: Fomel & Biondi: t-x Previous: Bibliography

2014-12-03