 |
 |
 |
 | The time and space formulation
of azimuth moveout |  |
![[pdf]](icons/pdf.png) |
Next: About this document ...
Up: Fomel & Biondi: t-x
Previous: APPENDIX A: AMO AMPLITUDE
amosym
Figure 5. Reflection from the
ellipsoid of a prestack migration impulse response (a scheme). Top: Map view.
Bottom: Section of the ellipsoid with the plane drawn through the
central line and the reflection point.
|
|
|
|---|
This appendix describes the derivation of the main formulas for the
aperture evaluation that follow from the Fermat principle (18).
In order to avoid the algebraic
complications of (18), we simplify the
problem by taking into account the cylindrical symmetry of the ellipsoidal
reflector (15).
Consider a plane drawn through the reflection point and the central line
of the ellipsoid (the axis of the cylindrical symmetry). This plane
has to contain the central (normally reflected) ray from the
reflector. This conclusion follows from the fact that all the normal
reflections emerge at the central line because of the cylindrical
symmetry, as shown in Figure B-1. The intersection of the 3-D
reflector and the plane is the
2-D ellipse
 |
(28) |
The connection between the emergence point of the normal ray
and
the
coordinate of the reflection point
can be derived from the
relationship evident in Figure B-1, as follows:
 |
(29) |
Equation (B-2) allows us to evaluate
in terms of
and get (19). The emergence point of the normal ray
corresponds to the
midpoint on an imaginary zero-offset section ( with a coincident
source and receiver). Therefore, the location of this point is
determined for given input
and output midpoints in accordance with expression (7).
Obviously, the reflection point has to be inside the ellipse
(B-1). Therefore, its projection obeys the inequality
 |
(30) |
As follows from (B-3), (B-2), and (16),
 |
(31) |
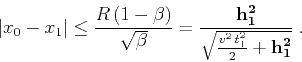
Inequality (B-4) is the known aperture limitation of the
DMO operator (2) found by Deregowski and Rocca (1981). The
equality in (B-4) is achieved when the reflection point is
on the surface, where the reflector dip increases to 90 degrees.
Now the only unknown left in our problem is the
-coordinate of the
reflection point
. To find this unknown, we substitute
(19) into (17), choosing the convenient
parameterization
 |
(32) |
where
, and
(Figure B-1). The
two-point traveltime function in (17) transforms to the form
Applying the second equation from (18), we get a simple linear
equation for
, which has the explicit solution (20).
From (19) and (20) one can find the reflection
point location for given midpoint and offset. To find the limits of
possible output midpoint locations, we constrain the reflection
point to be inside the ellipsoid (15) similarly to the way we did
in two dimensions when deriving (B-4). First, let's consider the
case of
(the output midpoint
is on the line drawn
through
in the direction of the input azimuth). In this
case, combining expression (20) and inequality (21)
produces
 |
(34) |
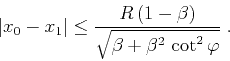
For any azimuth rotation angle
less than 90 degrees, the
limitation (B-7) is smaller than that of the DMO operator
(B-4). The difference increases with the decrease of the
azimuth rotation, since the AMO aperture section
on the line
monotonously shrinks to a point
when
approaches zero. To extend this conclusion to the whole
3-D aperture, we can find the contour of the aperture by putting the
reflection point
at the edge of the ellipsoid (15), as follows:
 |
(35) |
and solving (20) for
. The aperture contour can then be defined by
the system of parametric expressions
 |
(36) |
 |
(37) |
where
 |
(38) |
,
and
is defined by (B-8).
 |
 |
 |
 | The time and space formulation
of azimuth moveout |  |
![[pdf]](icons/pdf.png) |
Next: About this document ...
Up: Fomel & Biondi: t-x
Previous: APPENDIX A: AMO AMPLITUDE
2014-12-03