next up previous [pdf]

Next: About this document ... Up: Alkhalifah and Fomel: Source Previous: Bibliography

Appendix A: Higher-order expansions

Traveltime behavior due to source perturbations can be estimated more accurately using higher-order formulations. Considering that $l_x$, $l_y$, and $l_z$ represent source perturbations in the $x$, $y$, and $z$ directions, respectively, a full representation of the second derivative behavior is given by the following symmetric matrix

\begin{displaymath}
\left(
\begin{array}{ccc}
D_{xx} & D_{xy} & D_{xz} \\
D_{xy...
...} & \frac{\partial^2 \tau}{\partial l_z^2}
\end{array}\right).
\end{displaymath} (25)

$D_{xx}$ is evaluated using the first order linear differential equation 20, where $\tau$ is obtained from solving the eikonal equation and $D_x$ is evaluated from equation 4.

Similarly, higher order approximations in $l_y$ and $l_z$ are given by

\begin{displaymath}
\nabla D_y \cdot \nabla D_y \, + \,\nabla \tau \cdot \nabla D_{yy} \, = \, \frac{1}{2} \frac{\partial^2 w}{\partial y^2}
\end{displaymath} (26)

and
\begin{displaymath}
\nabla D_z \cdot \nabla D_z \, + \,\nabla \tau \cdot \nabla D_{zz} \, = \, \frac{1}{2} \frac{\partial^2 w}{\partial z^2},
\end{displaymath} (27)

respectively, which represent the diagonal terms of the matrix in equation E-1.

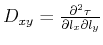
To obtain the non-diagonal components of the matrix we differentiate equation 3 with respect to $l_y$, instead of $l_x$, yielding:

$\displaystyle 2 \left(\frac{\partial^2 \tau}{\partial x \partial
l_x}\right) \...
...u}{\partial y} \, \frac{\partial^3 \tau}{\partial y \partial l_x \partial l_y}+$      
$\displaystyle 2 \left(\frac{\partial^2 \tau}{\partial z \partial l_x}\right)
\l...
...al
z \partial l_x \partial l_y} = \frac{\partial^2 w}{\partial
x \partial y}.$     (28)

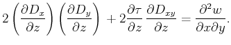
Substituting the second derivative of traveltime with respect to source location $D_{xy}=\frac{\partial^2 \tau}{\partial l_x \partial
l_y}$ into equation E-4 provides us with a first order linear equation in $D_{xy}$ given by:

$\displaystyle 2 \left(\frac{\partial D_x}{\partial x}\right)
\left(\frac{\parti...
... \, +
2 \frac{\partial \tau}{\partial y} \, \frac{\partial D_{xy}}{\partial y}+$      
$\displaystyle 2 \left(\frac{\partial D_x}{\partial z}\right) \left(\frac{\parti...
...rac{\partial D_{xy}}{\partial z} = \frac{\partial^2 w}{\partial
x \partial y}.$     (29)

or
\begin{displaymath}
\nabla D_x \cdot \nabla D_y \, + \,\nabla \tau \cdot \nabla ...
..., = \, \frac{1}{2} \frac{\partial^2 w}{\partial x \partial y}.
\end{displaymath} (30)

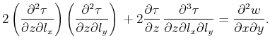
Similar equations for the rest of the matrix components are given by

\begin{displaymath}
\nabla D_x \cdot \nabla D_z \, + \,\nabla \tau \cdot \nabla ...
..., = \, \frac{1}{2} \frac{\partial^2 w}{\partial x \partial z},
\end{displaymath} (31)

and
\begin{displaymath}
\nabla D_y \cdot \nabla D_z \, + \,\nabla \tau \cdot \nabla ...
..., = \, \frac{1}{2} \frac{\partial^2 w}{\partial y \partial z},
\end{displaymath} (32)


next up previous [pdf]

Next: About this document ... Up: Alkhalifah and Fomel: Source Previous: Bibliography

2013-04-02