next up previous [pdf]

Next: Bibliography Up: Sripanich et al.: 3D Previous: Acknowledgments

Appendix A: Alternative derivation of the moveout approximation in equation 12

On the basis of perturbation theory for a general horizontal homogeneous weakly anisotropic media, we consider the quartic coefficients in equations 1 and 2 $ A_i$ to be (Farra et al., 2016; Grechka and Pech, 2006)

$\displaystyle A_1$ $\displaystyle = -\frac{4\eta_2}{V^4_{\mbox{ref}}}$ (22)
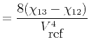
$\displaystyle A_2$ $\displaystyle = \frac{8(\chi_{13}-\chi_{11})}{V^4_{\mbox{ref}}}$    
$\displaystyle A_3$ $\displaystyle = -\frac{4(\eta_1+\eta_2-\eta_3)}{V^4_{\mbox{ref}}}$    
$\displaystyle A_4$ $\displaystyle = \frac{8(\chi_{13}-\chi_{12})}{V^4_{\mbox{ref}}}$    
$\displaystyle A_5$ $\displaystyle = -\frac{4\eta_1}{V^4_{\mbox{ref}}}~,$    

where

$\displaystyle \chi_{11} = \frac{c_{16}}{V_{\mbox{ref}}} \qquad, \quad\chi_{12} ...
..._{\mbox{ref}}} \qquad, \quad\chi_{13} = \frac{c_{36}+2c_{45}}{V_{\mbox{ref}}}~,$ (23)

and $ V_{\mbox{ref}}$ denotes the P-wave velocity in the chosen isotropic background. These expressions are appropriate for horizontal homogeneous weakly anisotropic media of any symmetry. A more general form form dipping layer is also discussed by Grechka and Pech (2006). In the specific case of orthorhombic media, the general quartic coefficients (equation A-1) can be simplified to

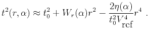
$\displaystyle A_r(\alpha) = -\frac{4\eta(\alpha)}{V^4_{\mbox{ref}}}~,$ (24)

where $ \eta(\alpha)$ is given in equation 13. Therefore, the resulting moveout approximation takes the form of

$\displaystyle t^2(r,\alpha) \approx t^2_0 + W_r(\alpha)r^2-\frac{2\eta(\alpha)}{t^2_0 V^4_{\mbox{ref}}}r^4~.$ (25)

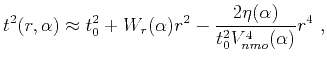
Subsequently, by setting

$\displaystyle V^2_{\mbox{ref}} = V^2_{nmo} (\alpha) = (W_r(\alpha))^{-1}~,$ (26)

we obtain the moveout approximation of the form proposed by Xu et al. (2005) and Vasconcelos and Tsvankin (2006):

$\displaystyle t^2(r,\alpha) \approx t^2_0 + W_r(\alpha)r^2-\frac{2\eta(\alpha)}{t^2_0 V^4_{nmo}(\alpha)}r^4~,$ (27)

without the long-offset normalization, which corresponds to the choice of $ A_r(\alpha) = -4 \eta(\alpha)/V^4_{nmo}(\alpha)$ , $ B_i=0$ , and $ C_i=0$ from equation 2. The additional long-offset normalization factor can be included based on the same scheme as in equation 10 with

$\displaystyle A^*_r(\alpha) = \frac{1+2\eta(\alpha)}{t_0^2V^2_{nmo}(\alpha)}~.$ (28)

As a result, we obtain the same expression of the moveout approximation in equation 12 by Xu et al. (2005) in the main text.


next up previous [pdf]

Next: Bibliography Up: Sripanich et al.: 3D Previous: Acknowledgments

2017-04-20