 |
 |
 |
 | A robust approach to time-to-depth conversion and interval velocity
estimation from time migration in the presence of lateral velocity variations |  |
![[pdf]](icons/pdf.png) |
Next: Appendix D: Analytical expressions
Up: Li & Fomel: Time-to-depth
Previous: Appendix B: The Fréchet
In order to derive the time-to-depth conversion analytically, we first trace image rays in the depth
coordinate for
and
. Then we carry out a direct inversion to find
and
. The Dix velocity can be obtained at last following equations 3 and 4.
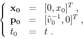
Continuing from equation 15, we write the velocity in a coordinate relative to the image ray
 |
(39) |
where
and
. At the starting point, image ray satisfies
![\begin{displaymath}
\left\{ \begin{array}{lcl}
\mathbf{x_0} & = & [0, x_0]^T\;, ...
...ilde{v}_0^{-1}, 0]^T\;, \\
t_0 & = & t\;.
\end{array} \right.
\end{displaymath}](img166.png) |
(40) |
Here we denote ray parameter
and
is the ray parameter at source. The
Hamiltonian for ray tracing reads
.
The corresponding ray tracing system is (Cervený, 2001):
 |
(41) |
Equation C-1 indicates
, which means
can be
integrated analytically and provides
 |
(42) |
From the eikonal equation and considering
and
, we have
 |
(43) |
Integrating equation C-5 over
gives
 |
(44) |
Meanwhile, combining equations C-1 and C-3, we find
,
i.e.,
. Suppose
 |
(45) |
then
 |
(46) |
Solving equation C-8 provides
and
, which after substituting into
equation C-7 leads to
 |
(47) |
Note equation C-2 states
and thus equations
C-4, C-6 and C-9 can be further simplified.
To connect depth- and time-domain attributes, we first invert equation C-6 such that
is
expressed by
and
 |
(48) |
Next, we insert equations C-5 and C-10 into C-9 in order to change its
parameterization from
to
. The result is written for the
and
components of
separately, as follows:
 |
(49) |
![\begin{displaymath}
z (t_0,x_0) = \frac{\tilde{v}_0 \left[ g_z (1 - \cosh (g t_0...
... (g t_0) \right]}
{g (g \cosh (g t_0) - g_z \sinh (g t_0))}\;.
\end{displaymath}](img191.png) |
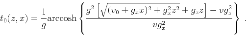
(50) |
Inverting equations C-11 and C-12 results in
 |
(51) |
![\begin{displaymath}
t_0 (z,x) = \frac{1}{g} \mathrm{arccosh} \left\{ \frac{g^2 \...
...2 + g_x^2 z^2}
+ g_z z \right] - v g_z^2}{v g_x^2} \right\}\;.
\end{displaymath}](img192.png) |
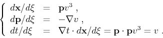
(52) |
In the last step, we derive the analytical formula for the Dix velocity. Note that from equation
C-13
, i.e., there is no geometrical spreading. The image rays are circles parallel
to each other. Therefore according to equation 3
and is found by combining equations
C-5 and C-10
 |
(53) |
The time-migration velocity
, on the other hand, is
 |
(54) |
 |
 |
 |
 | A robust approach to time-to-depth conversion and interval velocity
estimation from time migration in the presence of lateral velocity variations |  |
![[pdf]](icons/pdf.png) |
Next: Appendix D: Analytical expressions
Up: Li & Fomel: Time-to-depth
Previous: Appendix B: The Fréchet
2015-03-25